设为首页
加入收藏
考试招聘
成绩查询
考试问吧
考试题库
各地导航
在线留言
关注微信
招考公告
招考公告
事业单位招聘
高校教师招聘
中小学招聘
卫生系统招聘
银行招聘
政府部门招聘
公务员考试
政策法规
政策法规
报考指南
时事政治
时事政治
申论热点
考试题库
历年真题
历年真题
事业单位笔试
事业单位面试
教师招聘真题
卫生系统真题
银行招聘真题
公务员真题
考试题库
考试题库
公共基础知识
事业单位真题
申论热点
时事政治
县市导航
县市导航
教师招聘
教师招聘
高校招聘
中小学招聘
教师招聘真题
教师招聘题库
教师报考指南
教师资格考试
卫生系统
卫生系统
卫生招聘公告
卫生招聘真题
卫生招聘面试
卫生系统题库
卫生招聘政策
卫生招聘辅导
银行招聘
银行招聘
银行招聘信息
银行招聘真题
银行面试真题
银行考试题库
银行考试辅导
银行考试经验
其他考试
其他考试
公务员招考
政府部门招聘
村官招考
银行招聘
招警考试
选调生考试
三支一扶
全部考试
事业单位考试省级导航
全国
A
安徽
B
北京
C
重庆
F
福建
G
广东
广西
甘肃
贵州
H
河南
河北
湖南
湖北
黑龙江
海南
J
江苏
江西
吉林
L
辽宁
N
内蒙古
宁夏
Q
青海
S
山东
山西
陕西
四川
上海
T
天津
X
新疆
西藏
Y
云南
Z
浙江
更详细省市县级导航
事业单位招聘专用题库
事业单位考试历年真题
真题+讲义=免费
当前位置:
91考试网
->
考试资讯
->
公务员考试
->
事业单位
->
事业单位考试题库
2013年10月黑龙江省直《综合知识》:2013年“十一”黄金周期间一日游旅客量约是过夜旅游者量的()。
2015-06-10 00:56:21 来源:91考试网 作者:www.91exam.org 【
大
中
小
】
微信搜索关注"91考试网"公众号,领30元,获取公务员、事业编、教师等考试资料40G!
2013年10月黑龙江省直事业单位招聘考试《综合知识》真题及解析
2013年“十一”黄金周期间一日游旅客量约是过夜旅游者量的_____。
A: 2.4倍
B: 2.8倍
C: 3.2倍
D: 3.6倍
参考答案: D
本题解释:
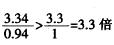
【答案】D。解析:2013年“十·一”黄金周期间一日游旅客量约是过夜旅游者量的
。只有D项符合。
QQ空间
新浪微博
百度空间
腾讯微博
天涯社区
搜狐微博
人人网
网易微博
我的淘宝
更多
Tags:
事业单位
考试
题库
【
大
中
小
】【
打印
】
【
繁体
】 【
关闭
】 【
返回顶部
】
下一篇
:
2013年10月黑龙江省直《综合知识..
相关栏目
事业单位招考公告
中小学教师招聘
高校教师招聘
卫生系统招聘
事业单位考试真题
事业单位考试题库
事业单位面试真题
教师招聘考试真题
教师招聘考试题库
卫生系统招聘真题
网站客服QQ: 960335752 - 14613519 - 48225117