设为首页    加入收藏

事业单位考试省级导航

全国 A安徽 B北京 C重庆 F福建 G广东 广西 甘肃 贵州 H河南 河北 湖南 湖北 黑龙江 海南 J江苏 江西 吉林 L辽宁 N内蒙古 宁夏 Q青海 S山东 山西 陕西 四川 上海 T天津
     X新疆 西藏 Y云南 Z浙江 更详细省市县级导航 事业单位招聘专用题库 事业单位考试历年真题 真题+讲义=免费

2013年4月天津市事业单位公开招聘工作人员考试《职业能力测验》:下列表述不正确的是:()
2015-06-11 02:21:44 来源:91考试网 作者:www.91exam.org 【
微信搜索关注"91考试网"公众号,领30元,获取公务员、事业编、教师等考试资料40G!

2013年4月天津市事业单位公开招聘工作人员考试《职业能力测验》真题及解析
下列表述不正确的是:_____
A: 中国是全球PVC原料需求增长量最快的地区
B: 2005年以前,中国的人均PVC消费量将超过美国
C: 2002年日本的人均PVC消费约是美国人均消费的1/2
D: 住宅和工程建设是导致中国PVC原料需求快速增长的主要原因

参考答案: B

本题解释:
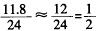
【答案】B。专家解析:据第一段第一句“中国是全球PVC原料需求成长最快的国家”,A选项正确;据第二段第一句“2002年美国、中国PVC消费量分别约540万吨、423万吨,人均消费量分别为24kg、3.3kg”,又据98题得2005年中国的PVC消费量将达547.8万吨,故B选项错误;据第二段第一句“2002年美国、日本每人每年PVC消费量分别为24kg、11.8kg”,,故C选项正确;据最后一段最后一句“中国对PVC原料的需求主要来自住宅建筑及工程等需求,占PVC总需求量的60%”,故D选项正确。故选B。

Tags:事业单位 考试 题库
】【打印繁体】 【关闭】 【返回顶部
下一篇2013年4月天津市事业单位公开招聘..

网站客服QQ: 960335752 - 14613519 - 48225117