手机用户可
保存上方二维码到手机中,在
微信扫一扫中右上角选择“从
相册选取二维码”即可。
1、填空题 黏性土坡的稳定性与土体的()、()、()、()和()等5个参数有密切关系。
点击查看答案
本题答案:抗剪强度指标φ、c,重度ν,土坡的坡角β,坡高h
本题解析:试题答案抗剪强度指标φ、c,重度ν,土坡的坡角β,坡高h
2、判断题 毕肖普条分法只适用于有效应力法。
点击查看答案
本题答案:错
本题解析:毕肖普条分法也适用于总应力法。
3、填空题 黏性土坡稳定安全系数的表达式为()。
点击查看答案
本题答案:K=tanφ/tanβ
本题解析:试题答案K=tanφ/tanβ
4、单项选择题 无粘性土坡的稳定性,()。
A.与坡高无关,与坡脚无关
B.与坡高无关,与坡脚有关
C.与坡高有关,与坡脚有关
D.与坡高有关,与坡脚无关
点击查看答案
本题答案:B
本题解析:暂无解析
5、单项选择题 由下列哪一种土构成的土坡进行稳定分析时需要采用条分法:
A.细砂土
B.粗砂土
C.碎石土
D.粘性土
点击查看答案
本题答案:D
本题解析:粘性土坡进行稳定分析时,假定滑动面为圆弧面,由于滑动面上的力各点方向由斜平面均不同,为简化计算,将滑动土体分成若干土条,每一土条上的滑动面近似为斜平面。
6、单项选择题 分析砂性土坡稳定时,假定滑动面为:
A.斜平面
B.中点圆
C.坡面圆
D.坡脚圆
点击查看答案
本题答案:A
本题解析:砂性土坡稳定进行分析时,假定滑动面为斜平面。
7、判断题 毕肖普条分法的计算精度高于瑞典条分法。
点击查看答案
本题答案:对
本题解析:暂无解析
8、单项选择题 分析均质无粘性土坡稳定时,稳定安全系数K为:
A.K=抗滑力/滑动力
B.K=滑动力/抗滑力
C.K=抗滑力距/滑动力距
D.K=滑动力距/抗滑力距
点击查看答案
本题答案:A
本题解析:砂性土坡稳定安全系 数K=抗滑力/滑动力。
9、单项选择题 简化毕肖普公式忽略了()。
A.土条间的作用力
B.土条间的法向作用力
C.土条间的切向作用力
点击查看答案
本题答案:C
本题解析:暂无解析
10、单项选择题 下列关于小儿急性肠套叠非手术疗法,不正确的是()
A.B超监视下水压灌肠复位常用注水量在300~700ml
B.空气灌肠复位肠套叠也能收到较好的效果
C.钡剂灌肠复位应在80~120cmH2O压力下缓缓注入结肠
D.灌肠复位不会发生结肠穿孔并发症
E.灌肠复位后排出大量黏液血便和黄色粪水,说明复位有效
点击查看答案
本题答案:D
本题解析:暂无解析
11、问答题 某砂土场地经试验测得砂土的自然休止角φ=30°,若取稳定安全系数K=1.2,问开挖基坑时土坡坡角应为多少?若取β=20°,则K又为多少?
点击查看答案
本题答案:
试题答案
12、单项选择题 瑞典条分法在分析时忽略了()。
91EXAm.org
A.土条间的作用力
B.土条间的法向作用力
C.土条间的切向作用力
点击查看答案
本题答案:A
本题解析:暂无解析
13、问答题 某简单黏性土坡坡高h=8,边坡高度为1∶2,土的内摩擦角φ=19°,黏聚力c=10kPa,重度γ=17.2kN/m3,坡顶作用着线荷载,试用瑞典条分法计算土坡的稳定安全系数。
点击查看答案
本题答案:
试题答案


14、填空题 无粘性土坡的稳定性仅取决于土坡(),其值越小,土坡的稳定性越()。
点击查看答案
本题答案:坡角、稳定
本题解析:试题答案坡角、稳定
15、单项选择题 分析粘性土坡稳定时,假定滑动面为:
A.斜平面
B.水平面
C.圆弧面
D.曲面
点击查看答案
本题答案:C
本题解析:粘性土坡的滑动面为曲面,为简化计算,粘性土坡进行稳定分析时,假定滑动面为圆弧面(圆筒面)。
16、判断题 用条分法分析黏性土的稳定性时,需假定几个可能的滑动面,这些滑动面均是最危险的滑动面。
点击查看答案
本题答案:错
本题解析:只有最小安全系数所对应的滑动面才是最危险的滑动面。
17、填空题 当土坡坡顶开裂时,在雨季会造成抗滑力矩(),当土坡中有水渗流时,土坡稳定安全系数数值()。
点击查看答案
本题答案:减小、减小
本题解析:试题答案减小、减小
18、单项选择题 在地基稳定性分析中,如果采用φ=0分析法,这时土的抗剪强度指标应该采用下列哪种方法测定?()
A.三轴固结不排水试验
B.直剪试验慢剪
C.现场十字板试验
D.标准贯入试验
点击查看答案
本题答案:C
本题解析:暂无解析
19、判断题 黏性土坡的稳定性与坡高无关。
点击查看答案
本题答案:错
本题解析:只有黏性土坡的稳定性才与坡高无关。
20、问答题 简述毕肖普条分法确定安全系数的试算过程?
点击查看答案
本题答案:可用文字叙述之,下面以程序简图描述之。
本题解析:试题答案可用文字叙述之,下面以程序简图描述之。
21、问答题 已知某挖方土坡,土的物理力学指标为γ=18.9kN/m3,φ=10°c=12kPa若取安全系数K=1.5,试问:(1)将坡角做成β=60°时边坡的最大高度;(2)若挖方的开挖高度为6m,坡角最大能做成多大?
点击查看答案
本题答案:
试题答案
22、填空题 无粘性土坡的坡角越大,其稳定安全系数数值越(),土的内摩擦角越大,其稳定安全系数数值越()。
点击查看答案
本题答案:小、大
本题解析:试题答案小、大
23、问答题 分析土坡稳定性时应如何根据工程情况选取土体抗剪强度指标和稳定安全系数?
点击查看答案
本题答案:分析土坡稳定时的抗剪强度指标选用下表:
本题解析:试题答案分析土坡稳定时的抗剪强度指标选用下表:

分析土坡稳定时的安全系数见(JTJD30-2004)和(JTJ017-96),也可选用下表:
24、单项选择题 无黏性土坡的稳定性()。
A.与密实度无关
B.与坡高无关
C.与土的内摩擦角无关
D.与坡角无关
点击查看答案
本题答案:B
本题解析:暂无解析
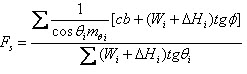
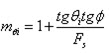
25、问答题 简述杨布(Janbu)条分法确定安全系数的步骤。
点击查看答案
本题答案:一般来讲可按下述三步进行:
(1)先假设△H
本题解析:试题答案一般来讲可按下述三步进行:
(1)先假设△Hi=0;并假定Fs=1,算出mθi带入
(式中
)算出值和原前一值比较,迭代直到满足精度要求;
(2)再用力和极限平衡方程及力矩方程的公式,分别求出每 一土条的Tfi,△Pi及Hi,并计算出△Hi;
(3)用新求出的△Hi重复步骤1,求出Fs的第二次近似值,并以此值重复步骤2计算每一土条的Tfi,△Pi,△Hi,直到前后计算的Fs达到某一精度要求。
26、填空题 无黏性土坡在自然稳定状态下的极限坡角,称为()。
点击查看答案
本题答案:自然休止角
本题解析:试题答案自然休止角
27、单项选择题 某无黏性土坡坡角β=24°,内摩擦角φ=36°,则稳定安全系数为()
A.K=1.46
B.K=1.50
C.K=1.63
D.K=1.70
点击查看答案
本题答案:C
本题解析:暂无解析
28、问答题 土坡稳定分析的条分法原理是什么?如何确定最危险的圆弧滑动面?
点击查看答案
本题答案:土坡稳定分析的条分法的基本原理是:假定土坡沿着圆弧面滑
本题解析:试题答案土坡稳定分析的条分法的基本原理是:假定土坡沿着圆弧面滑动、将圆弧滑动体若干竖直的土条,计算各土条对圆弧圆心的抗滑动力矩与滑动力矩,由抗滑动力矩与滑动力矩之比(稳定安全系数)来判别土坡的稳定性。这时需要选择多个滑动圆心,分别计算相应的安全系数,其中最小的安全系数对应的滑动面为最危险的滑动面。最小安全系数K<1为不稳定,K=1为极限平衡,工程上要求的最小稳定安全系数为Kmin=1.1—1.5,重要工程的Kmin取较高值。根据大量的实际资料,简单土坡的最危险滑动面的圆心在图10-6中确定的DF线上的E点附近, D点的位置在坡脚A点下面h再向右取4.5h处(h为坡高);E点的位置与坡脚β有关的两个角度α1和α1的边线的交点,角α1和α1的数值见教材P259表10-6.当土的内摩擦角φ=0时,圆弧的圆心在E点;φ>0时,圆心在E点的上方,试算时可在DE的延长线上取几个圆心O1,O2,…,计算相应的稳定安全系数,在垂直DE的方向按比例绘出各线段来代表各安全系数的数值,然后连成K值曲线,在该曲线最小的K值处做垂直线FG,然后在FG线上另取若干个圆心01',O2',…,计算出相应的稳定安全系数,同样可作出K'值曲线,并以K'值曲线上的最小值作为Kmm,而相应的O’为最危险滑动面的圆心。
29、问答题 某地基土的天然重度γ=18.6kN/m3,内摩擦角,黏聚力,当采取坡度1∶1开挖坑基时,其最大开挖深度可为多少?
点击查看答案
本题答案:
试题答案
30、单项选择题
某粘性土的内摩擦角φ=5°,坡角β与稳定因数(Ns=γhcr/c)的关系如下:

当现场土坡高度H=3.9m,内聚力C=10kPa,土的重度γ=20kN/m3,安全系数K=1.5,土坡稳定坡角β为:
A.20
B.30
C.40
D.50
点击查看答案
本题答案:A
本题解析:泰勒图表法常用于分析简单土坡的稳定性,为简化计算,引入了稳定因数Ns,Ns=γHcr/C,式中:γ为填土的重度,C为填土的粘聚力,Hcr为土坡的极限高度。安全系数K=Hcr/H,式中:H为土坡高度。注意有些教材的稳定因数定义为Ns=C/γHcr,因此答案与此不同。
31、判断题 稳定数法适用于非均质土坡。
点击查看答案
本题答案:错
本题解析:只适用于均质土坡。
32、单项选择题 影响无粘性土坡稳定性的主要因素为:
A.土坡高度
B.土坡坡角
C.土的重度
D.土的粘聚力
点击查看答案
本题答案:B
本题解析:无粘性土坡稳定性仅取决于土坡坡角β;粘性土坡稳定性与土坡坡角β、坡高H、土的重度γ、土的抗剪强度指标粘聚力C和土的内摩擦角φ。
33、填空题 无粘性土坡进行稳定分析时,常假设滑动面为()面,粘性土坡进行稳定分析时,常假设滑动面为()面。
点击查看答案
本题答案:斜平、圆筒
本题解析:试题答案斜平、圆筒
34、单项选择题 地基的稳定性可采用圆弧滑动面法进行验算,规范GB50007规定:
A.MR/MS≥1.5
B.MR/MS≤1.5
C.MR/MS≥1.2
D.MR/MS≤1.2
点击查看答案
本题答案:C
本题解析:地基的稳定性可采用圆弧滑动面法进行验算,最危险的滑动面上诸力对滑动中心所产生的抗滑力矩MR与滑动力矩MR之比MR/MR≥1.2。
35、填空题 瑞典条分法稳定安 全系数是指()和()之比。
点击查看答案
本题答案:抗滑力矩,滑动力矩
本题解析:试题答案抗滑力矩,滑动力矩
36、问答题 何为无黏性土坡的自然休止角?无黏性土坡的稳定性与哪些因素有关?
点击查看答案
本题答案:砂土的自然休止角:砂土堆积成的土坡,在自然稳定状态下的
本题解析:试题答案砂土的自然休止角:砂土堆积成的土坡,在自然稳定状态下的极限坡脚,称为自然休止角,砂土的自然休止角数值等于或接近其内摩擦角,人工临时堆放的砂土,常比较疏松,其自然休止角略小于同一级配砂土的内摩擦角。
一般来讲,无黏土土坡的稳定性与坡高无关,只和坡角、土的内摩擦角有关,且只要坡角小于土的内摩擦角就稳定;当无黏土土坡有渗流时,除以上因素,还和土体本身的重度有关。
37、问答题 土坡稳定有何实际意义?影响土坡稳定的因素有哪些?
点击查看答案
本题答案:山区的天然山坡,江河的岸坡以及建筑工程中因平整场地、开
本题解析:试题答案山区的天然山坡,江河的岸坡以及建筑工程中因平整场地、开挖基坑而形成的人工斜坡,由于某些外界不利因素的影响,造成边坡局部土体滑动而丧失稳定性,边坡的坍塌常造成严重的工程事故,并危及人身安全,因此,应选择适当的边坡截面,采取合理的施工方法,必要时还应验算边坡的稳定性以及采取适当的工程措施,以达到保证边坡稳定。减少填挖土方量、缩短工期和安全节约的目的。
影响边坡稳定的因素一般有一下几个方面:
(1)土坡作用力发生变化。例如由于在坡顶堆放材料或建造建筑物使坡顶受荷,或由于打桩、车辆行驶、爆破、地震等引起的震动改变了原来的平衡状态。
(2)土体抗剪的强度的降低。例如土体中含水量或孔隙水压力的增加。
(3)静水压力的作用。例如雨水或地面水流入土坡中的竖向裂缝,对土坡产生侧向压力,从而促进捅破的滑动。
(4)地下水在土坝或基坑等边坡中的渗流常是边坡失稳的重要因素,这是因为渗流会引起动水力,同时土中的细小颗粒会穿过粗颗粒之间的孔隙被渗流挟带而去,使土体的密实度下降。
(5)因坡脚挖方而导致土坡高度或坡脚增大。
38、填空题 简化毕肖普公式只考虑了土条间的()作用力而忽略了()作用力。
点击查看答案
本题答案:法向,切向
本题解析:试题答案法向,切向
39、问答题 地基的稳定性包括哪些内容?地基的整体滑动有哪些情况?应如何考虑?
点击查看答案
本题答案:地基的稳定性包括以下主要内容:
①承受很大水
本题解析:试题答案地基的稳定性包括以下主要内容:
①承受很大水平力或倾覆力矩的建(构)筑物;
②位于斜坡或坡顶上的建(构)筑物;
③地基中存在软弱土层,土层下面有倾斜的岩层面、隐伏的破碎或断裂带,地下水渗流等。地基的整体性滑动有以下三种情况: ①挡墙连同地基一起滑动。可用抗滑力矩和滑动力矩的比值作为安全系数计算,也可用类似土坡的条分法计算,一般要求Kmin大于1.2;②当挡土墙周围土体及地基土都比较软弱时,地基失稳时可能出现贯入软土层深处的圆弧滑动面。同样可采用类似于土坡稳定分析的条分法计算稳定安全系数,通过试算求得最危险的圆弧滑动面和相应的稳定安全系数Kmin,一般要求Kmin≥1.2;③当挡墙位于超固结坚硬黏性土层中时,其滑动面可沿着近似水平面的软弱结构面发生非圆弧滑动面。计算是采用主(被)动挡墙的压力公式,以抗滑力和滑动力的比值计算,一般要求Kmin≥1.3。
40、问答题 一简单土坡,c=20kPa,φ=20°,γ=18kN/m3。(1)如坡角β=60°,安全系数K=1.5,试用稳定数法确定最大稳定坡高;(2)如坡高h=8.5m,安全系数仍为1.5,试确定最大稳定坡角;(3)如坡高h=8m,坡角β=70°,试确定稳定安全系数K。
点击查看答案
本题答案:
试题答案
41、单项选择题 下列因素中,导致土坡失稳的因素是:
A.坡脚挖方
B.动水力减小
C.土的含水量降低
D.土体抗剪强度提高
点击查看答案
本题答案:A
本题解析:影响土坡失稳的不利因素有:(1)土坡作用力发生变化;(2)土体抗剪强度降低;(3)静水压力作用;(4)动水力增大;(5)因坡脚挖方而导致土坡坡角增大。
42、单项选择题 若某砂土坡坡角为200,土的内摩擦角为300,该土坡的稳定安全系数为:
A.1.59
B.1.50
C.1.20
D.1.48
点击查看答案
本题答案:A
本题解析:砂性土坡稳定安全系数K=tanφ/tanβ,式中:φ为土的内摩擦角, β为土坡坡角。
43、问答题 试比较土坡稳定分析瑞典条分法、规范圆弧条分法、毕肖普条分法及杨布条分法的异同?
点击查看答案
本题答案:几种方法的异同用表格简单表述如下:
试题答案几种方法的异同用表格简单表述如下:
91Exam.org
题库试看结束后
微信扫下方二维码即可打包下载完整版《
★土木建筑工程》题库
手机用户可保存上方二维码到手机中,在微信扫一扫中右上角选择“从相册选取二维码”即可。
题库试看结束后
微信扫下方二维码即可打包下载完整版《
土木建筑工程:土坡和地基的稳定性》题库,
分栏、分答案解析排版、小字体方便打印背记!经广大会员朋友实战检验,此方法考试通过率大大提高!绝对是您考试过关的不二利器!
手机用户可
保存上方二维码到手机中,在
微信扫一扫中右上角选择“从
相册选取二维码”即可。