手机用户可
保存上方二维码到手机中,在
微信扫一扫中右上角选择“从
相册选取二维码”即可。
1、判断题 在离子交换器再生过程中,加热再生液(40℃),可提高再生效果。
点击查看答案
本题答案:对
本题解析:暂无解析
2、问答题 计算题:已知原水中阳离子量为4.5mmol/L,失效时钠离子量为0.3mmol/L,阳床直径为2.5m,树脂层高1.8m,制水量为1920t,求阳离子交换树脂的工作交换容量。
点击查看答案
本题答案:解:阳离子树脂量为(π/4)×2.5
本题解析:试题答案解:阳离子树脂量为(π/4)×2.52×1.8=8.84(m3)
则1920×(4.5-0.3)/8.84=912.22(mol/m3)
答:阳离子交换树脂的工作交换容量912.22mol/m3。
3、判断题 为防止大反洗时跑树脂,交换器的进水装置应用尼龙网包住。
点击查看答案
本题答案:错
本题解析:暂无解析
4、问答题 简述离子交换器的出水装置。
点击查看答案
本题答案:大直径交换器出水装置多采用穹形孔板加石英砂垫层。这种排
本题解析:试题答案大直径交换器出水装置多采用穹形孔板加石英砂垫层。这种排水装置直径约为交换器的半径。上开孔,直径在8~12mm,通水面积为出水管截面积的3~5倍,石英砂高度在700~900mm之间,石英砂垫层的级配从1~35mm,为6级层。
5、问答题 离子交换树脂长期使用后,颜色变黑、交换容量降低的原因有哪些?应如何处理?
点击查看答案
本题答案:阳离子交换树脂主要受铁、铝及其氧化物的污染,可以用盐酸
本题解析:试题答案阳离子交换树脂主要受铁、铝及其氧化物的污染,可以用盐酸浸泡酸洗;阴离子交换-树脂主要受有机物的污染,可以用碱性氯化钠复苏处理。阴离子交换树脂有时因再生液含杂质较多(铁及氧化物)而污染,应用食盐水浸泡后,再用盐酸浸泡清洗。
6、判断题 运行中,转动设备的轴承温度不应大于100℃,电机温度应小于80℃。
点击查看答案
本题答案:错
本题解析:暂无解析
7、问答题 如何鉴别阴阳离子交换树脂?
点击查看答案
本题答案:取树脂样品2mL左右,清水洗涤后,加入5mL1mol/
本题解析:试题答案取树脂样品2mL左右,清水洗涤后,加入5mL1mol/LHCl溶液处理,在酸化后的树脂中加入10%CuSO4溶液,树脂呈浅绿色的为阳树脂,如树脂颜色不变则为阴树脂。
8、问答题 绘图题:画出大气式除碳器结构示意图。
点击查看答案
本题答案:如图E-6所示。
试题答案如图E-6所示。

1—收水器;2—布水装置;3—填料层;4—格栅;5—进风管;6—出水锥底;
A—排风口;B—进水口;C—人孔;D—进风口;E—出水口
9、填空题 玻璃过滤器不适合过滤()。
点击查看答案
本题答案:碱性溶液
本题解析:试题答案碱性溶液
10、问答题 试述火电厂工业废水来源有哪些?处理系统由哪几部分构成?
点击查看答案
本题答案:火力发电厂工业废水分为经常性废水及非经常性废水两大类。
本题解析:试题答案火力发电厂工业废水分为经常性废水及非经常性废水两大类。经常性废水包括锅炉补给水系统排出的废水、凝结水精处理装置的排水以及实验室排水等。非经常性废水包括空气预热器清洗排水、锅炉化学清洗废水、机组杂排水以及主厂房场地排水和冲洗水。
这些废水有害物质含量高、杂质多,因此必须对这些废水进行处理。工业废水处理系统包括:废水储存系统、废水处理系统、废水加药系统、电气和自动控制系统。
11、判断题 酒精挥发是化学变化。
点击查看答案
本题答案:错
本题解析:暂无解析
12、单项选择题 用EDTA滴定法测定凝结水硬度时,常出现终点色为灰蓝色的情况,说明()干扰较大,需要加掩蔽剂。
A.硫酸盐;
B.铁;
C.硅;
D.磷酸盐。
点击查看答案
本题答案:B
本题解析:暂无解析
13、问答题 为什么单元制一级除盐系统中,阴床先失效时,除盐水电导率先下降后上升?
点击查看答案
本题答案:当阴床失效后,首先放出硅酸根,而硅酸根和阳床出水中残留
本题解析:试题答案当阴床失效后,首先放出硅 91eXaM.org酸根,而硅酸根和阳床出水中残留的钠离子生成硅酸钠,而硅酸钠是一种弱电介质,其电导率相应要小些。所以当阴床失效初步放硅时,会使阴床出水电导率短时间内下降。但随着阴床的进一步失效,大量阴离子放出后形成盐酸、硫酸,阴床出水电导率就很快上升。
14、问答题 &n来源:91 考试网bsp;简述含油废水处理的工艺。
点击查看答案
本题答案:含油废水经油水分离器后,油进入废油池,水经过混凝处理后
本题解析:试题答案含油废水经油水分离器后,油 进入废油池,水经过混凝处理后进入气浮池,气浮池加气后处理的浮泡也进入废油池,气浮池的出水回用或排放,废油池的废油收集处理。
15、单项选择题 火电厂排出的烟气会对大气造成严重污染,尤其是()能造成酸雨污染。
A.氮氧化物;
B.二氧化碳;
C.二氧化硫;
D.微量重金属微粒。
点击查看答案
本题答案:C
本题解析:暂无解析
16、判断题 pH值为11.02这个数字有四个有效数字。
点击查看答案
本题答案:错
本题解析:暂无解析
17、单项选择题 酸碱指示剂的颜色随溶液()的变化而变化。
A.pH值;
B.浓度;
C.电导率;
D.温度。
点击查看答案
本题答案:A
本题解析:暂无解析
18、问答题 简述如何检查水泵的运行是否正常。
点击查看答案
本题答案:检查的项目有:
(1)轴承油室油位及油质是否
本题解析:试题答案检查的项目有:
(1)轴承油室油位及油质是否正常。
(2)检查水泵轴承和电动机轴承的温升。
(3)检查出口压力表指示是否正常。
(4)检查电流表读数是否正常。
(5)检查水泵的振动情况,或运转是否异常。
(6)检查水泵和电动机是否过热或有焦味。
(7)检查密封处泄漏水量或密封水是否正常。
19、问答题 混凝处理中常用聚合铝有哪些?其主要优点有哪些?
点击查看答案
本题答案:水处理中常用的聚合铝为聚合氯化铝或碱式氯化铝,简称PA
本题解析:试题答案水处理中常用的聚合铝为聚合氯化铝或碱式氯化铝,简称PAC。PAC不是同一形态的化合物,实际上包含有不同形态的Aln(OH)m羟基化合物,通式可以写为Aln(OH)mCl3nm。PAC在水中可以形成高电荷的聚合正离子,可以有效地中和水中胶体颗粒表面的负电荷,提高压缩胶体颗粒扩散层的能力。另外,它的相对分子质量 较大,在水中,絮凝过程中,不水解,故形成絮凝物的速度快,吸附力强,密度大,容易沉降。
20、判断题 在工作场所可以存储汽油、酒精等易燃物品。
点击查看答案
本题答案:错
本题解析:暂无解析
21、问答题 为什么单元制一级除盐系统中,阳床失效时,除盐水电导率会上升?
点击查看答案
本题答案:当阳床失效时,首先逐步放出钠离子,当钠离子进入阴床后,
本题解析:试题答案当阳床失效时,首先逐步放出钠离子,当钠离子进入阴床后,和阴床的氢氧根离子结合多生成氢氧化钠。而氢氧化钠是一种较强的导电物质,因此阴床出口除盐水将随着氢氧化钠的增加,电导率会逐步升高。
22、单项选择题 鼓风式除碳器一般可将水中的游离CO2含量降至()mg/L以下。
A.50;
B.5;
C.10;
D.15。
点击查看答案
本题答案:B
本题解析:暂无解析
23、判断题 硫酸钠分子式为NaSO4。
点击查看答案
本题答案:错
本题解析:暂无解析
24、问答题 简述水中硬度(1~100μmol/L)的测定方法。
点击查看答案
本题答案:(1)取100mL水样,注入锥形瓶中。若水样酸性或碱性
本题解析:试题答案(1)取100mL水样,注入锥形瓶中。若水样酸性或碱性很高时,可用5%氢氧化钠溶液或盐酸溶液(1+4)中和后再加缓冲溶液。
(2)加1mL硼砂缓冲溶液,加2~3滴0.5%酸性铬蓝K指示剂。
(3)在不断摇动下,用EDTA标准溶液进行滴定,溶液由红色转为蓝色即为终点,记录消耗EDTA的体积a。全部过程应于5min内完成,温度不低于15℃。
(4)另取100mLⅡ级试剂水,按(2)、(3)操作步骤测定空白值b。
(5)根据a、b等数值计算水样的硬度。
水样硬度小于25μmol/L时,应采用5mL微量滴定管滴定。
25、判断题 普通混合床中,阴阳离子交换树脂体积比例一般为1:1。
点击查看答案
本题答案:错
本题解析:暂无解析
26、判断题 一级除盐系统中,除碳器应设置在阴床之前。
点击查看答案
本题答案:对
本题解析:暂无解析
27、判断题 澄清池运行中要控制的主要环节是排泥量和泥渣循环量。
点击查看答案
本题答案:对
本题解析:暂无解析
28、单项选择题 测定水的碱度,应选用()标准液滴定。
A.盐酸;
B.硫酸;
C.EDTA;
D.硝酸银。
点击查看答案
本题答案:B
本题解析:暂无解析
29、判断题 在相同直径下,逆流再生床比顺流再生床消耗再生剂要多。
点击查看答案
本题答案:错
本题解析:暂无解析
30、判断题 再生溶液浓度的高低对再生效果没有影响。
点击查看答案
本题答案:错
本题解析:暂无解析
31、问答题 简述阳床出口酸度的测定方法。
点击查看答案
本题答案:取100mL的透明水样注入250mL锥形瓶中。加入2滴
本题解析:试题答案取100mL的透明水样注入250mL锥形瓶中。加入2滴0.1%甲基橙指示剂,用0.05mol/L(或0.1mol/L)氢氧化钠标准溶液滴定至溶液呈橙黄色为止,记录所消耗氢氧化钠标准溶液的体积(a)。根据消耗氢氧化钠标准溶液的体积a等数值计算水样的酸度。水中若含有游离氯,可加数滴硫代硫酸钠[c(Na2S2O3)=0.1mol/L],以消除游离氯对测定的影响。
32、问答题 计算题:现有氢氧化钠样品0.9000g,溶解后,用浓度为0.2500mol/L的HCl溶液滴定,用去84.80mL,计算样品中氢氧化钠的百分含量。
点击查看答案
本题答案:解:设样品中有氢氧化钠为xg
NaOH+HC
本题解析:试题答案解:设样品中有氢氧化钠为xg
NaOH+HClNaCl+H2O
40.0 36.5
x 0.2500×84.80×10-3×36.5
x=40.00×0.2500×84.80×10×10-336.5/36.5=0.8480(g)
w(NaOH)=(0.8480/0.9000)×100%=94.22%
答:样品中氢氧化钠的百分含量为94.22%。
33、单项选择题 离子交换器失效后再生,再生液流速一般为()m/h。
A.1~3;
B.8~10;
C.4~6;
D.8~15。
点击查看答案
本题答案:C
本题解析:暂无解析
34、问答题 水样温度高或取样器冒气是什么原因?如何处理?
点击查看答案
本题答案:原因:
(1)冷却水量小。
(2)
本题解析:试题答案原因:
(1)冷却水量小。
(2)取样二、三次门开度过大。
(3)冷却水管路堵塞或有冷却水观察孔冲开。
(4)冷却水泵发生故障跳闸或者空转造成冷却水源中断。
处理办法:
(1)开大冷却水进出水门调整流量。
(2)调整好二、三次门开度。
(3)联系检修处理,关闭冷却水进、出水门,取样二、三次门。
(4)联系锅炉补水或者启动冷却水泵。
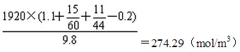
35、问答题 计算题:已知阴床入口水酸度为1.1mmol/L,二氧化硅含量为15mg/L,二氧化碳含量为11mg/L,失效时阴离子量为0.2mmol/L,制水量为1920t,阴床直径为2.5m,阴树脂装载高度为2m,求阴离子交换树脂的工作交换容量。
点击查看答案
本题答案:解:阴树脂装载量为(π/4)×2.5
本题解析:试题答案解:阴树脂装载量为(π/4)×2.52×2.0=9.8(m3)
则
答:阴离子交换树脂的工作交换容量为274.29mol/m3。
36、问答题 反渗透装置为什么要设置自动冲洗功能?
点击查看答案
本题答案:给水进入反渗透系统后分成两路,一路透过反渗透膜表面变成
本题解析:试题答案给水进入反渗透系统后分成两路,一路透过反渗透膜表面变成产水,另一路沿反渗透膜表面平行移动并逐渐浓缩,在这些浓缩的水流中包含了大量的盐分,甚至还有有机物、胶体、微生物、细菌和病毒等。
在反渗透系统正常运行时,给水/浓水流沿着反渗透膜表面以一定的流速流动,这些污染物很难沉积下来,但是如果反渗透系统停止运行,这些污染物就会立即沉积在膜的表面,对膜元件造成污染。所以要在反渗透系统中设置自动冲洗系统,利用反渗透产水对膜元件表面进行停运冲洗,以防止这些污染物的沉积。
37、问答题 论述空气擦洗滤池过滤原理。
点击查看答案
本题答案:经混凝沉淀处理完毕的澄清水,通过进水管均匀地进入滤池隔
本题解析:试题答案经混凝沉淀处理完毕的澄清水,通过进水管均匀地进入滤池隔水舱,再经过滤区砂层、水帽至多孔板底的集水室,自上而下进行重力过滤。滤后清水一部分经反洗管道由泵进入隔舱上部水箱储存,待水箱充满后,反洗水泵停止。
另一部分由出水管自流送至后续系统。当滤池正常运行一段时间后,滤层阻力增大,出水浊度升高,需对砂滤层自下而上进行反洗,反洗水源为滤池上部水箱内的清水,同时采用罗茨风机对砂层进行空气擦洗。
38、单项选择题 某水溶液中某物质的物质的量浓度为()。
A.0.2006mmol/L;
B.0.2006g/L;
C.0.2006%;
D.0.2006mg/mL。
点击查看答案
本题答案:A
本题解析:暂无解析
39、问答题 过滤器排水装置的作用有哪些?
点击查看答案
本题答案:过滤器排水装置的作用主要有:①引出过滤后的清水,而使滤
本题解析:试题答案过滤器排水装置的作用主要有:①引出过滤后的清水,而使滤料不被带出;②使过滤后的水和反洗水的进水沿过滤器的截面均匀分布;③在大阻力排水系统中,有调整过滤器水流阻力的作用。
40、问答题
计算题:生水暂时硬度为3.5mmol/L,阳床出口酸度为0.5mmol/L,二氧化硅含量为15mg/L,除碳效率为95%,阴床周期制水量为1400t,再生用40%的氢氧化钠(密度为1.43g/cm3)200L,求碱耗为多少?
点击查看答案
本题答案:解:残留碳酸量为3.5-(3.5×0.95
本题解析:试题答案解:残留碳酸量为3.5-(3.5×0.95)=0.175(mmol/L)

答:碱耗为88.34g/mol。
41、多项选择题 在进行信息安全风险评估时,要综合运用评估工具,在常规评估内容的基础上,加强()和(),重视对系统结构与配置的安全评估。
A.阶段风险性测试
B.模块分离性测试
C.渗透性验证测试
D.密码脆弱性测试
点击查看答案
本题答案:C, D
本题解析:暂无解析
42、问答题 绘图题:画出制氢系统流程图。
点击查看答案
本题答案:如图E-55所示。
试题答案如图E-55所示。

43、判断题 Ca、Mg和HCO3所形成的硬度叫永久硬度。
点击查看答案
本题答案:错
本题解析:暂无解析
44、判断题 离子交换器再生过程中,再生液浓度越高,再生越彻底。
点击查看答案
本题答案:错
本题解析:暂无解析
45、判断题 逆流再生固定床再生时,当再生液进完后,应立即大流量冲洗。
点击查看答案
本题答案:错
本题解析:暂无解析
46、判断题 酸碱滴定的实质是络合反应。
点击查看答案
本题答案:错
本题解析:暂无解析
47、多项选择题 影响过滤器运行的主要因素有()。
A、反洗时间;
B、反洗强度;
C、滤速;
D、水流的均匀性。
点击查看答案
本题答案:A, B, C, D
本题解析:暂无解析
48、问答题 过滤运行中,反洗不彻底会表现出什么现象?
点击查看答案
本题答案:如反洗不彻底,过滤周期将变短,出水测定的浊度会增大,过
本题解析:试题答案如反洗不彻底,过滤周期将变短,出水测定的浊度会增大,过滤器的出入口压差比正常运行大。
49、判断题 活性炭吸附处理可除去水中的过剩游离氯和有机物。
点击查看答案
本题答案:对
本题解析:暂无解析
50、问答题 简述热力系统在线氢电导率仪的工作原理。
点击查看答案
本题答案:在线电导率仪除具有普通电导率仪的测量工作原理外,由于在
本题解析:试题答案在线电导率仪除具有普通电导率仪的测量工作原理外,由于在进水回路上串接有阳离子交换器,即进入电导率仪的水样都经过阳离子交换器处理。其作用原理有两个:因给水采用加氨校正处理,水样经阳离子交换器处理后,除去氨,消除氨对水质测定的影响,使水质测定反映真实水质状况;另外,水样中杂质经阳离子交换器处理后,盐型转为酸型,同种阴离子的酸型电导率比盐型的大很多,使水样的电导率测定更敏感。
51、判断题 转动设备停电后,因保险已被拉开,所以无须再按启动按钮确认。
点击查看答案
本题答案:错
本题解析:暂无解析
52、问答题 绘图题:画出混凝沉淀池结构示意图。
点击查看答案
本题答案:如图E-45所示。
试题答案如图E-45所示。

1—混合器;2—反应池;3—沉淀池
53、问答题 滴定管如何正确读数?
点击查看答案
本题答案:滴定管正确读法:垂直夹在滴定架上,使溶液稳定,视线与液
本题解析:试题答案滴定管正确读法:垂直夹在滴定架上,使溶液稳定,视线与液面水平,对于无色或浅色溶液,应读取弯月面下缘最低点处。溶液颜色较深难以观察下缘时,也可以使视线与液面两侧的最高点相切,但初读与终读应用同一标准。
54、判断题 试验中的偶然误差是不可测的。
点击查看答案
本题答案:对
本题解析:暂无解析
55、判断题 再生剂的纯度对交换剂的再生程度和出水水质影响不大。
点击查看答案
本题答案:错
本题解析:暂无解析
56、判断题
硫酸铁的分子式为FeSO4。
点击查看答案
本题答案:错
本题解析:暂无解析
57、判断题 阴床出口电导率值应小于等于20μS/cm。
点击查看答案
本题答案:错
本题解析:暂无解析
58、问答题 绘图题:画出阳离子交换器结构示意图。
点击查看答案
本题答案:如图E-1所示。
试题答案如图E-1所示。

1—进水装置;2—中排装置;3—阳树脂层;4—石英砂垫层;5—弧型多孔板;6—压脂层
59、问答题 简述水中氯离子(摩尔法)的测定方法。
点击查看答案
本题答案:(1)量取100mL水样至于250mL锥形瓶中,加入2
本题解析:试题答案(1)量取100mL水样至于250mL锥形瓶中,加入2~3滴酚酞指示剂,若显红色,用0.05mol/L硫酸溶液中和至恰无色;若不显红色,则用0.1mol/L氢氧化钠溶液中和至红色,然后以0.05mol/L硫酸溶液回滴至恰无色。
(2)加入1mlL铬酸钾指示剂,用硝酸银标准溶液(1mL相当于1mgCl)滴至橙色,记录硝酸银标准溶液的消耗量a。同时作空白试验,记录硝酸银标准的消耗量b。
根据a、b等数值计算水样的氯离子。
注:若水样中氯离子含量大于100mg/L时,可少取水样并用试剂水稀释至100mL后再进行测定。
60、判断题 粒状滤料的过滤过程有两个作用:一是机械筛分;另一个是接触凝聚。
点击查看答案
本题答案:对
本题解析:暂无解析
61、判断题 在离子交换器再生过程中,再生液的流速一般控制在4~8m/h。
点击查看答案
本题答案:错
本题解析:暂无解析
62、判断题 鼓风式除碳器一般可将水中的CO2含量降至5mg/L以下。
点击查看答案
本题答案:对
本题解析:暂无解析
63、判断题 金属在水溶液中,或在潮湿空气中发生的腐蚀,属于电化学腐蚀。
点击查看答案
本题答案:对
本题解析:暂无解析
64、判断题 天然水的碱度主要是由含有HCO3的盐组成的。
点击查看答案
本题答案:对
本题解析:暂无解析
65、单项选择题 使用酸度计测定溶液的pH值,指针达到平衡时间较长,原因是()。
A.电极断路;
B.电极引出线接触不良;
C.溶液各部分不均匀;
D.电极老化。
点击查看答案
本题答案:D
本题解析:暂无解析
66、问答题 何谓物质的量浓度?单位是什么?
点击查看答案
本题答案:以单位体积溶液中所含溶质的物质的量来表示的浓度,单位为
本题解析:试题答案以单位体积溶液中所含溶质的物质的量来表示的浓度,单位为mol/L。
67、问答题 请指出下列化合物中硫和磷的化合价。 H2S,H2SO4,Na3PO4,P。
点击查看答案
本题答案:-2,+6,+5,0。
本题解析:试题答案-2,+6,+5,0。
68、问答题 分别说明测定有机物含量的COD、BOD、TOC、TOD的含义。
点击查看答案
本题答案:(1)化学耗氧量(COD)。指用化学氧化剂氧化还原性物
本题解析:试题答案(1)化学耗氧量(COD)。指用化学氧化剂氧化还原性物质(含各种有机物)所需要的氧量,用mg/LO2表示。如果化学耗氧量越高,则表示水中的有机物越多。
(2)生化耗氧量(BOD)。是指在有氧的条件下利用微生物的作用氧化分解水中有机物所用的氧量,用mg/LO2表示。
(3)总有机碳(TOC)。指水中有机物的总含碳量,即将水中有机物燃烧成CO2,通过测量CO2的含量来表示有机物的多少。
(4)总耗氧量(TOD)。指水中可氧化物质在高温燃烧条件下进行氧化所消耗的氧量。当有机物全部被氧化时,碳被氧化成CO2,氢、氮和硫分别被氧化成水、一氧化氮和二氧化硫,这时的耗氧量称为总耗氧量。
69、问答题 体内再生混床的主要装置有哪些?
点击查看答案
本题答案:体内再生混床的主要装置有:上部进水装置、下部集水装置、
本题解析:试题答案体内再生混床的主要装置有:上部进水装置、下部集水装置、中间排水装置、酸碱液分配装置、压缩空气装置和阴阳离子交换树脂装置等。
70、单项选择题 用DDS-11A电导仪测量溶液的电导率为20μS/cm时,频率应选用()。
A.低频;
B.高频;
C.高、低频均可;
D.1000Hz以上。
点击查看答案
本题答案:A
本题解析:暂无解析
71、判断题 二氧化碳和一氧化碳都是无色有毒的气体。
点击查看答案
本题答案:错
本题解析:暂无解析
72、判断题 只要是优级试剂都可作基准试剂。
点击查看答案
本题答案:错
本题解析:暂无解析
73、判断题 型号为001×7的树脂属强酸性苯乙烯,系阳离子交换树脂。
点击查看答案
本题答案:对
本题解析:暂无解析
74、判断题 逆流再生式阳床每次再生前都需要进行大反洗。
点击查看答案
本题答案:错
本题解析:暂无解析
75、单项选择题 一级复床+混床出水电导率值的标准应为()μS/cm。
A.≤0.3;
B.≤0.1;
C.≤0.5;
D.≤0.2。
点击查看答案
本题答案:D
本题解析:暂无解析
76、单项选择题 使用电气工具时,不准提着电气工具的导线或()。
A、金属部分
B、外壳部分
C、转动部分
点击查看答案
本题答案:C
本题解析:暂无解析
77、问答题 绘图题:画出微孔滤元过滤器结构图。
点击查看答案
本题答案:如图E-7所示。
试题答案如图E-7所示。

1—人孔;2—滤元上部固定装置;3—进水装置;4—滤元;5—滤元螺纹接头;a—进水口;b—出水口;c—进气口;d—排气口
78、判断题 逆流再生交换器运行的关键问题是使交换器内的交换剂不乱层。
点击查看答案
本题答案:对
本题解析:暂无解析
79、判断题 水泵启动时,先按启动按钮,再开入口门。
点击查看答案
本题答案:错
本题解析:暂无解析
80、判断题 离子交换器反洗的目的是松动树脂。
点击查看答案
本题答案:错
本题解析:暂无解析
81、判断题 在离子交换器运行过程中,进水流速越大,交换器的工作交换容量就越大,周期制水量也越大。
点击查看答案
本题答案:错
本题解析:暂无解析
82、判断题 当中和池水满时,应先进行循环中和,达到排放标准时,再排放。
点击查看答案
本题答案:对
本题解析:暂无解析
83、判断题 水中硬度的大小就是指水中Ca、Mg含量的多少。
点击查看答案
本题答案:对
本题解析:暂无解析
84、判断题 从空气中分离氧气是化学变化。
点击查看答案
本题答案:错
本题解析:暂无解析
85、判断题 硝酸银容量法测Cl,滴定终点为橙红色。
点击查看答案
本题答案:错
本题解析:暂无解析
86、判断题 交换器出入口门使用气闭门是为了使出入口门关得更严。
点击查看答案
本题答案:错
本题解析:暂无解析
87、判断题 没有减压器的氧气瓶可以使用。
点击查看答案
本题答案:错
本题解析:暂无解析
88、问答题 根据循环水水质的不同,现在一般采取哪几种措施防止凝汽器铜管结垢?
点击查看答案
本题答案:除胶球、毛刷机械清洗外,一般采取以下4种措施,以单独或
本题解析:试题答案除胶球、毛刷机械清洗外,一般采取以下4种措施,以单独或相结合的方式进行循环水处理,防止凝汽器铜管结垢。
(1)加酸处理。改变水中的盐类组成,将碳酸盐硬度转变为非碳酸盐硬度。
(2)脱盐处理。采用反渗透处理,降低水中的含盐量。
(3)石灰或弱酸处理。降低循环水的碳酸盐硬度。
(4)水质稳定剂处理。即向循环冷却水中投加阻垢剂,抑制碳酸钙的形成与析出,或使碳酸钙晶体畸变,从而阻止了碳酸钙水垢的形成。
89、判断题 滤池的反洗强度越大,则过滤运行的周期越短,出水浑浊度越大。
点击查看答案
本题答案:错
本题解析:暂无解析
90、判断题 电厂化学试验中所用硫酸溶液的基本单元一般用1/2H2SO4表示。
点击查看答案
本题答案:对
本题解析:暂无解析
91、判断题 离子交换器内的交换剂层越厚,交换器运行过程中的水头损失越大,周期制水量越少。
点击查看答案
本题答案:错
本题解析:暂无解析
92、判断题 测定小硅的标准溶液应存放在玻璃瓶中。
点击查看答案
本题答案:错
本题解析:暂无解析
93、问答题 试述反应沉淀池运行注意事项。
点击查看答案
本题答案:(1)反应池末端矾花颗粒细小,水体混浊,且不易沉淀,则
本题解析:试题答案(1)反应池末端矾花颗粒细小,水体混浊,且不易沉淀,则说明混凝剂投药不够,应增加投药量。
(2)若反应池末端颗粒较大但很松散,沉淀池出水异常清澈,但是出水中还夹带大量矾花,则说明混凝剂投药量过大,使矾花颗粒异常长大,但不密实,不易沉淀,应减少投药量。
(3)如沉淀池中有大量矾花上浮,这说明沉淀池排泥不及时,应及时排泥。长期运行沉淀设备上部有积泥,应15天大排泥一次(所有排泥阀同时开启),使得沉淀池水面降至设备以下,必要时可采用自来水冲洗沉淀设备。
(4)反应池末端和沉淀池进水配水墙之间大量积泥,会堵塞部分配水孔口,使孔口流速过大,打碎矾花,沉淀困难,应及时对反应池排泥。
94、问答题 绘图题:画出敞开式循环冷却水系统流程示意图。
点击查看来源:91考试网 91ExaM.org答案
本题答案:如图E-4所示。
试题答案如图E-4所示。

95、单项选择题 手工取样流速通常保持在()mL/min。
A.200~300;
B.300~400;
C.350~500;
D.500~700。
点击查看答案
本题答案:D
本题解析:暂无解析
96、判断题 遇有电气设备着火,应马上用灭火器灭火。
点击查看答案
本题答案:错
本题解析:暂无解析
97、问答题 绘图题:画出空气擦洗滤池结构示意图。
点击查看答案
本题答案:如图E-46所示。
试题答案如图E-46所示。

V1—进水电动蝶阀;V2—反洗排水电动蝶阀;V3—联通电动蝶阀;
V5—反洗后运行前排水电动蝶阀;V7—压缩空气进气阀;
V10—压缩空气排水阀
98、判断题 工业盐酸显淡黄色主要因为其中含有铁离子杂质。
点击查看答案
本题答案:对
本题解析:暂无解析
99、单项选择题 影响混凝处理效果的因素有水温、水的pH值、水中的杂质、接触介质和()。
A.杂质颗粒大小;
B.加药量;
C.水量大小;
D.杂质颗粒形状。
点击查看答案
本题答案:B
本题解析:暂无解析
100、判断题 循环水加酸处理的目的是将水中碳酸盐硬度转化为非碳酸盐硬度。
点击查看答案
本题答案:对
本题解析:暂无解析
题库试看结束后
微信扫下方二维码即可打包下载完整版《
★电厂水处理值班员考试》题库
手机用户可保存上方二维码到手机中,在微信扫一扫中右上角选择“从相册选取二维码”即可。
题库试看结束后
微信扫下方二维码即可打包下载完整版《
电厂水处理值班员考试:电厂水处理值班员初级工》题库,
分栏、分答案解析排版、小字体方便打印背记!经广大会员朋友实战检验,此方法考试通过率大大提高!绝对是您考试过关的不二利器!
手机用户可
保存上方二维码到手机中,在
微信扫一扫中右上角选择“从
相册选取二维码”即可。