微信搜索关注"91考试网"公众号,领30元,获取公务员、事业编、教师等考试资料40G!
1、简答题 如图所示,内截面积为S=10-4m2、足够高的圆柱形气缸开口向上竖直放置在水平面上,缸内离底部高为h1=0.08m处有一质量为m=0.2kg的活塞封住一定质量的理想气体,气体温度为t1=27°C,大气压强为p0=1.0×105Pa,重力加速度为g=10m/s2.问:
(1)若把活塞用销子固定住,再将气体温度升高到t2=102℃,此时缸内气体的压强p2为多大?
(2)若在初始条件下,保持气体温度不变,把气缸倒过来,开口向下竖直放置,此时活塞与气缸底的距离h2为多大?
参考答案:解;(1)初态:P1=P0+mgs=1.2×105Pa? ?T1=300K? T2=375K
封闭气体做等容变化,根据查理定律得:P1T1=P2T2
代入数据求得:p2=1.5×105Pa
(2)P3=P0-mgs=0.8×105Pa
封闭气体做等温变化,根据玻意耳定律得:p1h1S=p3h2S
代入数据求得:h2=12cm
答:(1)缸内气体的压强p2为1.5×105Pa
(2)活塞与气缸底的距离h2为12cm.
本题解析:
本题难度:一般
2、计算题 【选修3-3选做题】
如图所示,两个可导热的气缸竖直放置,它们的底部都由一细管连通(忽略细管的容积)。两气缸各有一个活塞,质量分别为m1和m2,活塞与气缸无摩擦。活塞的下方为理想气体,上方为真空。当气体处于平衡状态时,两活塞位于同一高度h。(已知m1=3m,m2=2m)
(1)在两活塞上同时各放一质量为m的物块,求气体再次达到平衡后两活塞的高度差(假定环境温度始终保持为T0)。
(2)在达到上一问的终态后,环境温度由T0缓慢上升到T,试问在这个过程中,气体对活塞做了多少功?气体是吸收还是放出了热量?(假定在气体状态变化过程中,两物块均不会碰到气缸顶部)。

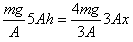
参考答案:解:(1)设左、右活塞的面积分别为A"和A,由于气体处于平衡状态,故两活塞对气体的压强相等,即:
由此得:
在两个活塞上各加一质量为m的物块后,右活塞降至气缸底部,所有气体都在左气缸中
在初态,气体的压强为
,体积为
;在末态,气体压强为
,体积为
(x为左活塞的高度)
由玻意耳-马略特定律得:
解得:
,即两活塞的高度差为
(2)当温度由T0上升至T时,气体的压强始终为
,设x"是温度达到T时左活塞的高度,由盖·吕萨克定律得:
活塞对气体做的功为:
在此过程中气体吸收热量
本题解析:
本题难度:一般
3、选择题 如图所示是一定质量的气体从状态A经过状态B 到状态C的p-T图象,由图象可知

[? ]
A.VA=VB
B.VB=VC
C.VB<VC
D.VA>VC
参考答案:AC
本题解析:
本题难度:一般
4、实验题 大气压强对许多物理实验和化学实验有着重要影响。现用“验证玻意耳定律”的仪器来测量大气压强p0。注射器针筒已被固定在竖直方向上,针筒上所标刻度是注射器的容积,最大刻度Vm=10ml。注射器活塞已装上钩码框架,如图所示。此外,还有一架托盘天平、若干钩码、一把米尺、一 个针孔橡皮帽和少许润滑油。

(1)下面是实验步骤,试填写所缺的②和⑤。
①用米尺测出注射器针筒上全部刻度的长度L;
②_____________________________________;
③把适量的润滑油抹在注射器的活塞上,将活塞插入外筒中,上下拉动活塞,使活塞与针筒的间隙内均匀地涂上润滑油;
④将活塞插到适当的位置;
⑤_____________________________________;
⑥在钩码框架两侧挂上钩码,记下挂上的钩码的质量m1。在达到平衡后,记下注射器中空气柱的体积V1。在这个过程中不要用手接触注射器以保证空气柱温度不变;
⑦增加钩码的个数,使钩码的质量增大为m2,达到平衡后,记下空气柱的体积V2。
(2)求出计算大气压强p0的公式。(用已给的和测得的物理量表示)
参考答案:(1)称出活塞和钩码框架的总质量M;将注射器针筒上的小孔用橡皮帽堵住
(2)活塞的根截面积为S=
①
由力学平衡条件得p1=p0+
g ②,p2=p0+
g ③
由玻意耳定律得p1V1=p2V2 ④
联立解得大气压强p0=
(
) ⑤
本题解析:
本题难度:一般
5、填空题 小车上固定一横截面积为S的一端封闭的均匀玻璃管,管内用长为l的水银柱封住一段气体(如图所示),若大气压强为P0,则小车以加速度a向左加速运动时,管内气体压强为____。(水银的密度为ρ)

参考答案:P0+ρal
本题解析:
本题难度:一般