微信搜索关注"91考试网"公众号,领30元,获取公务员、事业编、教师等考试资料40G!
1、选择题 如图所示,一电子沿Ox轴射入电场,在电场中的运动轨迹为OCD,已知
,电子过C、D两点时竖直方向的分速度为vCy和vDy;电子在OC段和OD动能变化量分别为△Ek1和△Ek2,则

A.
B.
C.
D.
参考答案:AD
本题解析:略
本题难度:简单
2、选择题 如图所示,一平行板电容器中存在匀强电场,电场沿竖直方向。两个比荷(即粒子的电荷量与质量之比)不同的带正电的粒子a和b,从电容器边缘的P点以相同的水平速度射入两平行板之间。测得a和b与电容器的撞击点到入射点之间的水平距离之比为1∶2。若不计重力,则a和b的比荷之比是

[? ]
A.1∶2
B.1∶1
C.2∶1
D.4∶1
参考答案:D
本题解析:
本题难度:一般
3、计算题 如图所示,有一放射源可以沿轴线ABO方向发射速度大小不同的粒子,粒子质量均为
,带正电荷
。A、B是不加电压且处于关闭状态的两个阀门,阀门后是一对平行极板,两极板间距为
,上极板接地,下极板的电势随时间变化关系如图(b)所示。O处是一与轴线垂直的接收屏,以O为原点,垂直于轴线ABO向上为
轴正方向,不同速度的粒子打在接收屏上对应不同的坐标,其余尺寸见图(a),其中
和
均为已知。已知
,不计粒子重力。
(1)某时刻A、B同时开启且不再关闭,有一个速度为
的粒子恰在此时通过A阀门,以阀门开启时刻作为图(b)中的计时零点,试求此粒子打在
轴上的坐标位置(用
表示)。
(2)某时刻A开启,
后A关闭,又过
后B开启,再过
后B也关闭。求能穿过阀门B的粒子的最大速度和最小速度。
(3)在第二问中,若以B开启时刻作为图(b)中的计时零点,试求解上述两类粒子打到接收屏上的
坐标(用
表示)。

参考答案:(1)
;(2)最大速度
;最小速度
;(3)两个坐标分别为
本题解析:
试题分析: (1)设经时间
进入偏转电场
;即在
时刻进入偏转电场,在电场中的运动时间
; 偏转电场中的加速度
;在场中的偏转距离为
?得
?
在电场中的偏转角
?;从出偏转电场到打到屏上偏转距离
;
?得
(2)能穿过阀门B的最短时间为
?对应最大速度
;能穿过阀门B的最长时间为
?对应最小速度
(3)速度最大的粒子将在0时刻出阀门B,
时刻进入偏转电场故其偏转距离与第(1)问相同,打在
轴上的坐标为
;速度最小的粒子将在
时刻出阀门B,
时刻进入偏转电场先向下偏转时间
?,
?
?再向下偏转(减速)
?出电场时恰好速度水平
?;
?
?即两个坐标分别为
本题难度:一般
4、选择题 有三个质量相等.分别带正电、负电和不带电的小球,均从极板左侧两极板的正中央以相同的水平速度先后垂直射人匀强电场中,A、B、C三个小球的运动轨迹如图所示,小球所受重力不能忽略,则

A.小球带负电,B不带电,C带正电
B.三小球在电场中运动的时间相等
C.三小球在电场中的加速度大小关系为
D.到达正极板三小球的动能关系为
参考答案:D
本题解析:三个粒子在电场中做类平抛运动,由于三个球初速度一样,但A水平位移最大,x=vt可知,位移大的,时间长,由于
,由于偏转距离一样,所以时间长的加速度小,即A球带正电,C带负电,B球不带电,因此综上分析ABC均错。由于电场力对C做正功,对A做负功,所以答案为D
点评:本题考查了处理类平抛运动的方式方法,通过水平位移判断运动时间,结合竖直方向的运动规律判断运动时间。
本题难度:一般
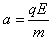
5、计算题 汤姆生在测定阴极射线荷质比时采用的方法是利用电场、磁场偏转法,即测出阴极射线在匀强电场或匀强磁场中穿过一定距离时的偏角。设匀强电场的电场强度为E,阴极射线垂直电场射入,穿过水平距离L后的运动偏角为θ(θ较小,θ≈tanθ,如图A所示);以匀强磁场B代替电场,测出经过同样长的一段弧长L的运动偏角为φ (如图B),试以E、B、L、θ、φ表示组成阴极射线粒子比荷q/m的关系式。

参考答案:解:在电场中偏转







在磁场中偏转,设电子在磁场中做匀速圆周运动半径为R


联立消去v0整理得

本题解析:
本题难度:困难