微信搜索关注"91考试网"公众号,领30元,获取公务员、事业编、教师等考试资料40G!
1、计算题 如图所示两根电阻忽略不计的相同金属直角导轨相距为l,它们各有一边在同一水平面内,另一边垂直于水平面,且都是足够长,两金属杆ab、cd与导轨垂直接触形成闭合回路,杆与导轨之间的动摩擦因数均为μ,且最大静摩擦力与滑动摩擦力相等。回路总电阻为R,整个装置处于竖直向上的匀强磁场中,现使杆ab受到F=5.5+1.25t(N)的水平外力作用,从水平导轨的最左端由静止开始向右做匀加速直线运动,杆cd也同时从静止开始沿竖直导轨向下运动,已知l=2 m,mcd=0.1 kg,mab=1 kg,R=0.4Ω,μ=0.5,g=10 m/s2,求:
(1)磁感应强度B的大小;
(2)cd杆下落过程达最大速度时,ab杆的速度大小,

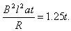
参考答案:解:(1)对ab杆:f1=μmabg=5 N

当t=0时,
,得a=0.5 m/s2
所以ab杆由静止开始以a=0.5 m/s2的加速度沿导轨匀加速运动
F安=BIl
E=Blv
?
v=at
F安=
根据牛顿第二定律F-F安-f1=maba
联立以上各式,解得
代入数据,解得B=0.5 T
(2)当cd杆下落过程达到最大速度时,cd杆平衡mcdg=f2=μF"安
F"安=BI"L=
联立以上两式并代入数据,解得v"=0.8 m/s
本题解析:
本题难度:困难
2、计算题 两根相距为L=1m的足够长的金属导轨如图所示放置,一组导轨水平,另一组平行导轨与水平面成37°角,拐角处连接一阻值为R=1Ω的电阻。质量均为m=1kg的金属细杆ab、cd与导轨垂直接触形成闭合回路,杆与导轨之间的动摩擦因数均为μ=0.5,导轨电阻不计,两杆的电阻均为R=1Ω。整个装置处于磁感应强度大小为
B=1T,方向竖直向上的匀强磁场中。当ab杆在平行于水平导轨的拉力作用下沿导轨向右匀速运动时,静止的cd杆所受摩擦力为最大静摩擦力,方向沿斜面向下。求此拉力的功率。(重力加速度g=10m/s2. 可认为最大静摩擦力等于滑动摩擦力)
参考答案:
本题解析:
? 3分
? 2分
I="20A?" 1分
? 4分? v="60m/s?" 1分
? 3分
? 3分
本题难度:一般
3、选择题 如图所示,一个边长为a、电阻为R的等边三角形线框,在外力作用下,以速度v匀速穿过宽均为a的两个匀强磁场。这两个磁场的磁感应强度大小均为B,方向相反。线框运动方向与底边平行且与磁场边缘垂直。取逆时针方向的电流为正,若从图示位置开始,则线框中产生的感应电流I与沿运动方向的位移x之间的函数图象,下面四个图中正确的是

[? ]
A.
B.
C.
D.
参考答案:A
本题解析:
本题难度:一般
4、选择题 如图所示,一个绕圆心轴MN匀速转动的金属圆盘,匀强磁场垂直于圆盘平面,磁感应强度为B,圆盘中心和圆盘边缘通过电刷与螺线管相连,圆盘转动方向如图所示,则下述结论中正确的是

A.圆盘上的电流由圆心流向边缘
B.圆盘上的电流由边缘流向圆心
C.金属圆盘上各处电势相等
D.螺线管产生的磁场,F端为N极
参考答案:A
本题解析:当圆盘转动方向如图所示时,根据右手定则可判断出圆盘上的感应电流方向是从圆心流向边缘的,故A是正确的;B就是不对的;
由于圆盘上在感应电流,故其上的电势并不相等,C不对;再对螺线管中的电流方向,由安培定则可判断出E端为N极,故D也是不对的。
本题难度:一般
5、填空题 水平面中的平行导轨P、Q相距L,它们的右端与电容为C的电容器的两块极板分别相连如图所示,直导线ab放在P、Q上与导轨垂直相交,磁感应强度为B的匀强磁场竖直向下穿过导轨面.若发现与导轨P相连的电容器极板上带负电荷,则ab向______沿导轨滑动;如电容器的带电荷量为Q,则ab滑动的速度v=______.

参考答案:由题意可知,电容器极板上带负电荷,因此因棒的切割,从而产生由a到b的感应电流,
根据右手定则可知,只有当棒向左滑动时,才会产生由a到b的感应电流;
根据电容器的电容公式Q=CU,可得:U=QC,
而棒切割磁感线产生感应电动势大小为:E=BLv,
此时U=E,
所以ab滑动的速度为:v=EBL=QBLC,
故答案为:左,QBLC.
本题解析:
本题难度:一般
A leopard and a goat can never live in the same flock. 豹子和山羊不同群。