微信搜索关注"91考试网"公众号,领30元,获取公务员、事业编、教师等考试资料40G!
1、选择题 如图为包含某逻辑电路的一个简单电路图,L为小灯泡.光照射电阻R′时,其阻值将变得远小于R。那么当电阻R′受到光照射时,下列说法正确的是(?)

A.小灯泡L将发光
B.小灯泡L将不发光
C.a点电势高
D.b点电势高
参考答案:AC
本题解析:该逻辑电路是非门电路;当电阻R"受到光照时,其阻值将变得远小于R,则R′分压较小,即非门的输入端为0,输出为1,小灯泡L发光,此时a点电势高,故AC正确。
本题难度:简单
2、选择题 美国科学家Willard S.Boyle与George E.Smith 因电荷耦合器件(CCD)的重要发明荣获2009年度诺贝尔物理学奖。CCD是将光学量转变成电学量的传感器。下列器件可作为传感器的有
A.发光二极管
B.霍尔元件
C.定值电阻
D.干电池
参考答案:B
本题解析:试题分析:传感器是将非电学量转变成电学量
A、发光二极管是将电流转化成光信号的,不能作为传感器;错误
B、霍尔元件可以把磁场的磁感应强度转化为电学量,可以作为传感器;正确
C、定值电阻可以把电流转化成热,不能作为传感器;错误
D、干电池是电源,能给两极提供电势差的设备;不能作为传感器;错误
故选B
考点:传感器
点评:要了解基本元器件的工作原理,会判断该器件能否作为传感器使用。
本题难度:简单
3、选择题 如图18-7-14是一种测定液面高度的电容式传感器的示意图,金属芯线与导电液体形成一个电容器,从指示器显示的电容C大小的变化就能反映液面的升降情况.两者的关系是( )

图18-7-14
①C增大表示h增大 ②C增大表示h减小
③C减小表示h减小 ④C减小表示h增大
A.①② B.①③ C.①④ D.②④
参考答案:B
本题解析:电容器的电容C决定于极板正对面积S、极板间距离d以及极板间的电介质这几个因素.如果某一物理量的变化能引起上述某个因素的变化,从而引起电容的变化,那么,通过测定电容器的电容就可以确定上述物理量的变化.在此题中,当液面高度h发生变化时,将导致接触面积的变化,液面上升,接触面积增大,电容增大;液面下降,接触面积减小,电容减小.?
本题难度:简单
4、填空题 下图是应用某种逻辑电路制作的车门报警电路.图中的两个按钮开关分别装在汽车的两扇门上.只要任何一个开关处于开路状态(输入为逻辑1),那么输出也是逻辑1,发光二极管(警报灯)就发光.
请你根据要求,在电路图的虚线框内画出门电路符号,用“逻辑电路实验器”完成此项实验,并写出该门电路的真值表.

参考答案:

本题解析:根据题意,该事件只要满足任何一个条件,该事件就会发生,属于或逻辑关系,即为或门电路.解答:解:根据只要其中任何一个开关处于开路状态 ( 即输入为逻辑 1),那么输出也是逻辑 1,发光二极管 ( 警报灯 ) 就发光,可知该逻辑关系为或逻辑关系,为或门电路,
考查了基本逻辑关系,基本门电路及其功能,理解真值表.
本题难度:一般
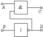
5、填空题 在如图所示的逻辑电路中,当A端输入电信号“1”,B端输入电信号“1”时,则在C端和D端输出的电信号分别为______和______.
参考答案:B端输入电信号“1”时,则非门的输出端D为“0”,非门的输出端又为与门的输入端,与门的输入端为“1”和“0”,则输出端C为“0”.
故本题答案为:0,0.
本题解析:
本题难度:一般