| 高考省级导航 | |
|
|
|
高中物理知识点大全《机械波的图象》高频试题巩固(2017年最新版)(一)
![]() 2、选择题 一列沿x轴正方向传播的简谐横波,当波传到x=O处时开始计时,t=7.0s时刻波形如图所示,此时波刚好传到x=3.5m处,则下列说法中正确的有( ) |

3、计算题 一列横波如图15所示,波长λ=8 m,实线表示t1=0时刻的波形图,虚线表示t2=0.005 s时刻的波形图.则:?
(1)波速可能多大?
(2)若波沿x轴负方向传播且2T>t2-t1>T,波速又为多大?
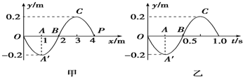
4、简答题 如图所示,甲为某一波在t=1.0s时的图象,乙为参与该波动的P质点的振动图象.
(1)试确定波的传播方向;
(2)求该波的波速v;
(3)在甲图中画出3.5s时的波形图;
(4)求再经过3.5s时P质点的路程s和位移.
5、选择题 一列简谐横波沿x轴正向传播,传到M点时波形如图所示,再经0.6 s,N点开始振动,则该波的振幅A和频率f为 
[? ]
A.A=1m,f=5Hz
B.A=0.5m,f=5Hz
C.A=1m,f=2.5Hz
D.A=0.5m,f=2.5Hz
| 【大 中 小】【打印】 【繁体】 【关闭】 【返回顶部】 | |
| 下一篇:高考物理答题技巧《平抛运动的运.. | |