微信搜索关注"91考试网"公众号,领30元,获取公务员、事业编、教师等考试资料40G!
1、实验题 2010年世博会在上海举行,本次世博会大量采用低碳环保技术,太阳能电池用作照明电源是其中的亮点之一。硅光电池是太阳能电池的一种,某同学为了测定该电池的电动势和内电阻,设计了如图甲所示电路。图中与A1串联的定值电阻的阻值为R0,电流表视为理想电表,在一定强度的光照下进行下述实验(计算结果小数点后保留两位数字):
(1)闭合开关,调节滑动变阻器,读出电流表A1、A2的值I1、I2。为了作出此电池的U-I曲线,需要计算出电路的路端电压U,则U=_________(用题中所给字母表示);
(2)根据测量数据作出该硅光电池的U-I图象如图乙所示,该电池的电动势E=_______V,在流过电流表A2的电流小于200mA的情况下,此电池的内阻r=______Ω;
(3)若将该硅光电池两端接上阻值为6Ω的电阻,此时对应的电池内阻r=_______Ω。

参考答案:(1)I1R0
(2)2.90,4.00
(3)5.60
本题解析:
本题难度:一般
2、选择题 有一个电流表G,内阻Rg=30Ω,满偏电流Ig=1mA,要把它改装成为量程为0~3V的电压表,关于改装方法和改装后的电压表内阻,下列说法正确的是( )
A.并联一个0.05Ω的电阻,电压表内阻是0.05Ω
B.并联一个2970Ω的电阻,电压表内阻是3000Ω
C.串联一个0.05Ω的电阻,电压表内阻是0.05Ω
D.串联一个2970Ω的电阻,电压表内阻是3000Ω
参考答案:D
本题解析:
本题难度:一般
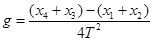
3、实验题 (1)在探究物体仅在重力作用下是否做匀变速直线运动的实验中,利用打出来的纸带可以测出当地的重力加速度。某次实验得到的纸带如图所示,O、A、B、C、D为相邻的五个点,测得OA=5.6mm、OB=15.0mm、OC=28.3mm、OD=45.5mm,打下相邻两个点间的时间间隔为0.02s。

① 当地的重力加速度g = ?m/s2。(结果保留三位有效数字)
② 把①问题中求得的重力加速度与当地重力加速度的标准值比较,发现两者并不相等,除了读数误差外,你认为产生误差的其它原因可能是?(只要求写出一种原因)。
(2)(12分)关于做“测电源电动势和内电阻”的实验
①有同学按图(a)电路进行连接,他用到的6根导线是aa′、bb′、cc′、dd′、d′e和bf ,由于其中混进了一根内部断开的导线,所以当他按下开关后,发现两个电表的指针均不偏转,他用多用表的电压档测量bc′间的电压,读数约为1.5V(已知电池电动势约为1.5V),由于只有一根导线内部断开,根据上述现象可推得,这6根导线中哪几根可能内部是断开的?答:_____________(写导线编号)。为了确定哪一根导线的内部是断开的,他至少还要用多用表的电压档再测量几次?答:_____次

②排除故障后,该同学通过改变滑动变阻器的电阻,测得了6组U、I的数据,根据第1、2、3、4、5和6组的数据,他在U-I图上标出了这些数据点,并且按照这些数据点的分布绘制了相应的U-I图线[如图(b)所示],由这一图线,可求得电源的电动势E为________V,内电阻r为________Ω。如果他不利用这一图线,而是利用任意两组U、I数据,那么当他选择哪二组数据求出的E、r值时误差最大?答:________________(写数据组编号如1和2;3和4;5和6) 。
参考答案:
(1) ① 9.69m/s2?(4分)② 纸带与限位孔之间的阻力、空气阻力等。(2分)
(2)①bb′、cc′(3分。错选不得分,漏选得2分);1(3分)
②1.45(或1.46、1.44)(2分);0.5(或0.51、0.49)(2分);2、3(2分)
本题解析:(1)①如右图分别计算出:
X1=5.6
m?
X2=15.0-5.6=9.4mm=9.4
m? X3=28.3-15.0=13.3mm=13.3
m
X4=45.5-28.3=17.2mm=17.2
m
根据
,T=0.02s
将数据代入解得g=9.69m/s2
②求得的重力加速度比当地重力加速度小,产生误差的原因可能是纸带与限位孔间的摩擦力,重物下落过程中要受空气阻力等原因。
(2)①由bc′间的电压,读数约为1.5V,说明从b到电源正极都是完好的,断开的导线一定在bc′间,bc′间包括bb′和cc′,所以这两根导线可能有一根是断开的。他只要再测bb′间是否有电压,若有电压,读数约为1.5V,说明cc′是完好的,断开的是bb′,若电压表的读数为零,说明cc′是断开的,所以只要再测量一次。
②由图b读出电源的电动势E为1.45(或1.46、1.44)V,内电阻r
,离所作直线最远的两点,误差最大,由图b可看出即为2、3两点。
本题难度:一般
4、实验题 用伏安法测电源的电动势和内阻时,可以用内接法和外接法,如图所示,试分析两种电路的误差对结果的影响。

参考答案:解:(1)对于甲图中的内接法,由于电压表分流IV,使电流表所测的电流I测小于电源的输出电流I真,即:I真=I测+IV,而
,U越大,IV越大;U越小,IV越小;U趋近于零时,IV也趋于零。在下图中,测量线为AB,真实线应为A"B,可以看出E测<E真。由
得:r测<r真

另一种思路:将虚线框内的电压表和电池看做一整体,内接法实际上测的是这个整体的电动势和总内阻。当外电路(虚线框外)断开时,路端电压等于电动势数值,由于电压表的影响,此时的“电动势”实际上是电压表两端电压,由于RV>>r,所以二者近似相等,但略小于电动势;此时的总内阻是电压表内阻与电池内阻并联的总和,则r测<r真,内接法要求RV>>r,一般的电压表内阻较大,因此实验中一般采用内接法
(2)对于乙图中的外接法,由于电流表的分压作用,有U真=U测+UA,即U真=U测+IRA,这样在U-I图线上对应每个I,应加上一修正值△U=IRA,由于RA很小,所以在I很小时,△U趋于零,I增大,△U增大,如图所示,可以看出,E测=E真,由
,得r测>r真

另一种思路:将虚线框内的电流表和电池看做一整体,外接法测的是这个整体的电动势和内阻。当外电路断路时,路端电压等于电动势数值。测的内阻实际上是电流表与电池内阻串联的总内阻。所以E测=E真,r测>r真,外接法要求RA<<r,但是一般电池内阻很小,很难满足这一条件,因此实验中一般不采用这种方法
本题解析:
本题难度:一般
5、实验题 欧姆表表头满偏电流为5mA,内装一节干电池,电动势为1.5V,做好测量前的准备工作后,将待测电阻接入红、黑表笔间,指针指在满刻度的3/4处,则该欧姆表的内阻为___________Ω,待测电阻为___________Ω。
参考答案:300;100
本题解析:
本题难度:一般