1、选择题 已细氢原子的能级规律为En=
E1(其中E1=-13.6eV,n=1,2,3,…).现用光子能量介于10eV~12.9eV’范围内的光去照射一群处于最稳定状态的氢原子,则下列说法中正确的是( )
A.照射光中可能被吸收的光子能量有无数种
B.照射光中可能被吸收的光子能量只有3种
C.可能观测到氢原子发射不同波长的光有3种
D.可能观测到氢原子发射不同波长的光有6种
参考答案:根据氢原子的能级规律得E1=-13.6eV、E2=-3.4eV、E3=-1.51eV、E4=-0.85eV.最稳定的状态是基态,现用光子能量介于10eV~12.9eV范围内的光去照射基态,被吸收的光子能量有10.2eV,12.09eV,12.75,分别跃迁到n=2,3,4能级,知可能被吸收的光子能量有3种,氢原子会跃迁到第4能级,根据C24=6知,可能辐射6种不同波长的光.故B、D正确,A、C错误.
故选BD.
本题解析:
本题难度:简单
2、选择题 用频率为v0的光照射大量处于基态的氢原子,在所发射的光谱中仅能观测到频率分别为v1、v2、v3的三条谱线,且v3>v2>v1,则
[? ]
A.v0<v1
B.v3=v2+v1
C.v0=v1+v2+v3
D. 
参考答案:B
本题解析:
本题难度:一般
3、选择题 下图为氢原子的能级示意图,图中①、②、③分别表示氢原子由所处激发态向低能级的跃迁,跃迁时所发射的光子的频率和波长分别为ν1、ν2、ν3和λ1、λ2、λ3。下列说法正确的是( ? )

A.λ1>λ2
B.λ1>λ3
C.ν1>ν2
D.ν23
参考答案:C
本题解析:
本题难度:简单
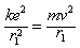
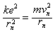
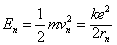
4、计算题 已知氢原子的电子轨道半径为r1=0.528×10-10 m,量子数为n的能级值为
。
(1)求电子在基态轨道上运动时的动能。
(2)有一群氢原子处于量子数n=3的激发态,画出能级图,并在图上用箭头标明这些氢原子能发出哪几条光谱线。
(3)计算这几条光谱线中波长最短的一条的波长。
(静电力常量k=-9×109 N·m/C2,电子电荷量e=1.6×10-19 C,普朗克常量h=6.63×10-34 J·s,真空中光速c=3.00×108 m/s)
参考答案:解:由
,可计算出电子在任意轨道上运动的动能
,并由此计算出相应的电势能Epn,且Ekn=|En|,Epn=2En
(1)核外电子绕核做匀速圆周运动,静电引力提供向心力,则
又知
,故电子在基态轨道的动能为:
13.6 eV
(2)当n=1时,能量级为
当n=2时,能量级为
当n=3时,能量级为
能发出光谱线分别为3→2,2→1,3→1共三种,能级见下图

(3)由E3向E1跃迁时发出的光子频率最大,波长最短
hv=Em-En,又知
,则有

本题解析:
本题难度:困难
5、选择题 已知氦离子He+能级En与量子数n的关系和氢原子能级公式类似,处于基态的氦离子He+的电离能为E=54.4eV.为使处于基态的氦离子He+处于激发态,入射光子所需的最小能量为( )
A.13.6?eV
B.40.8?eV
C.48.4?eV
D.54.4?eV
参考答案:处于基态的氦离子He+的电离能为E=54.4eV,知基态的氦离子能量为-54.4eV,吸收最小的能量将跃迁到第2能级,E2=1n2E1=14×(-54.4)=-13.6eV.
则吸收的光子最小能量△E=E2-E1=-13.6+54.4eV=40.8eV.故B正确,A、C、D错误.
故选B.
本题解析:
本题难度:一般