1、简答题 如图, 金属棒a自h 高处从静止开始沿光滑的弧形轨道下骨,进入光滑水平导轨后,在自上而下的匀强磁场B中运动.在水平导轨上原来放着静止的另一根金属棒b,已知两棒的质量关系
.

(1)画出a棒刚进入磁场的瞬间的两棒受力图,并求出两棒加速度大小之比.
(2)如果两棒始终没有相碰,求两棒的最终速度(设它们都没有离开磁场),并求出整个过程中两棒和两导轨组成的回路中消耗的电能.
参考答案:(1)? 1:2?,
?(2)
本题解析:

本题难度:简单
2、选择题 当一段导线在磁场中做切割磁感线的匀速运动时,下面说法中正确的是( )
A.导线中一定有感应电流
B.导线一定受安培力作用
C.导线会产生感应电动势
D.以上说法都不正确
参考答案:C
本题解析:
本题难度:一般
3、简答题 如图甲所示.空间有一宽为2L的匀强磁场区域,磁感应强度为B,方向垂直纸面外,abcd是由均匀电阻丝做成的边长为L的正方形线框,总电阻为R.线框以垂直磁场边界的速度υ匀速通过磁场区域.在运动过程中,线框ab、cd两边始终与磁场边界平行.设线框刚进入磁场的位置x=0,x轴沿水平方向向右.求:
(1)从cd边进入磁场到ab边进入磁场的过程中,线框中产生的焦耳热;
(2)在下面的图乙中,画出cd两端电势差Ucd随距离x变化的图象.其中U0=
BLυ.(不需要分析说明)
参考答案:(1)cd边进入磁场时,感应电动势E1=BLυ
从cd边进入磁场到ab边进入磁场的过程中,所用时间为t=Lv
线框中产生的焦耳热:Q=E12Rt=B2L3vR
(2)cd进入磁场过程中,Ucd=34E=34BLv=3U0;

线框完全在磁场中运动时,Ucd=E=BLv=4U0;
cd穿出磁场的过程中,Ucd=14E=14BLv=U0;
cd两端电势差Ucd随距离x变化的图象.如图所示.
答:
(1)从cd边进入磁场到ab边进入磁场的过程中,线框中产生的焦耳热为B2L3vR;
(2)cd两端电势差Ucd随距离x变化的图象.如图所示.
本题解析:
本题难度:一般
4、计算题 如图所示,在质量为M=0.99kg的小车上,固定着一个质量为m=10g、电阻R=1Ω的矩形单匝线圈MNPQ,其中MN边水平,NP边竖直,高度l=0.05m。小车载着线圈在光滑水平面上一起以v0=10m/s的速度做匀速运动,随后进入一水平有界匀强磁场(磁场宽度大于小车长度),完全穿出磁场时小车速度v1=2m/s。磁场方向与线圈平面垂直并指向纸内、磁感应强度大小B=1.0T。已知线圈与小车之间绝缘,小车长度与线圈MN边长度相同。求:
(1)小车刚进入磁场时线圈中感应电流I的大小和方向;
(2)小车通过磁场的过程中线圈电阻的发热量Q;
(3)小车进入磁场过程中线圈克服安培力所做的功W。

参考答案:解:(1)线圈切割磁感线的速度v0=10m/s
感应电动势E=Blv0=1×0.05×10=0.5V
由闭合电路欧姆定律得线圈中电流
A
由楞次定律知线圈中感应电流方向为M→Q→P→N→M
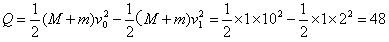
(2)线圈进入磁场和离开磁场时克服安培力做功,动能转化成电能,产生的电热:
J
(3)设小车完全进入磁场后速度为v
在小车进入磁场从t时刻到t+△t时刻(△t→0)过程中:
即
求和得
同理得
而
又线圈进入和穿出磁场过程中磁通量的变化量相同,因而有q入=q出
故得v0-v=v-v1,即v=6 m/s
所以,小车进入磁场过程中线圈克服安培力做功
J
本题解析:
本题难度:困难
5、填空题 如图所示是穿过每匝线圈的磁通量的变化情况,线圈的匝数为10匝,则线圈内的感应电动势的最大值是______,最小值是______.

参考答案:在0~2S,由图△Φ△t=2Wb/s,线圈内的感应电动势E=N△Φ△t=20V.?
? 在2~4S,由图△Φ△t=0,线圈内的感应电动势E=0
? 在4~5S,由图△Φ△t=4Wb/s,则线圈内的感应电动势E=N△Φ△t=40V.
故本题答案是:40V,0;
本题解析:
本题难度:一般