|
高中物理知识点复习《直线运动》试题强化练习(2018年最新版)(四)
2018-03-18 09:13:10
来源:91考试网
作者:www.91exam.org 【 大 中 小】
|
1、选择题 一物体静止在光滑的水平桌面上,现对其施加水平力,使它沿水平桌面做直线运动,该物体的速度-时间图像如图所示。根据图像判断下列说法中正确的是
 A.0s~6s时间内物体所受水平力的方向始终没有改变 B.2s~3s时间内物体做减速运动 C.1s末物体距离出发点最远 D.1.5s末和2.5s末两个时刻物体的加速度相同
|
参考答案:D
本题解析:因为桌面光滑,所以受到的合力等于其施加的水平力,根据牛顿第二定律可得,合力方向和加速度方向一致,从图中可知物体的加速度方向在变,所以水平力方向在变,A错误;2s~3s时间内物体的速度反方向在增加,即做加速运动,B错误;图像与坐标轴围成的面积表示位移,所以2s末或者6s末物体距离出发点最远,C错误;图像的斜率表示物体运动的加速度,1-3s内物体速度图像的斜率不变,所以做匀变速直线运动,故1.5s末和2.5s末两个时刻物体的加速度相同,D正确。 考点:考查了速度时间图像
本题难度:一般
2、选择题 下列关于物理学史及物理现象的说法中正确的是 A.用白光作为光源的杨氏双缝干涉实验中,屏上将呈现黑白相间的条纹 B.单缝衍射图象中条纹间距随缝宽度的减小而增大 C.查德威克在用α粒子轰击铍核的实验中发现了中子 D.用紫光照射某金属能发生光电效应,那么用紫外线照射该金属也一定能发生光电效应
参考答案:BCD
本题解析:分析:白光是复色光,是七种单色光组成的,作白光做干涉实验,屏上将呈现彩色的条纹;条纹间距越小,衍射越明显;查德威克在用α粒子轰击铍核的实验中发现了中子;产生光电效应的条件是:入射光的频率大于金属的极限频率.紫外线的频率大于紫光的频率. 解答:A、白光是复色光,是七种单色光组成的,用白光作为光源的杨氏双缝干涉实验中,屏上将呈现彩色的干涉条纹.故A错误. B、条纹间距越小,衍射越明显,则单缝衍射图象中条纹间距随缝宽度的减小而增大.故B正确. C、查德威克在用α粒子轰击铍核的实验中,实现了原子核的人工转变,并发现了中子;故C正确. D、产生光电效应的条件是:入射光的频率大于金属的极限频率.紫外线的频率大于紫光的频率.所以用紫光照射某金属能发生光电效应,那么用紫外线照射该金属也一定能发生光电效应.故D正确. 故选BCD 点评:本题关键要掌握光的干涉、衍射的现象和条件,掌握光电效应的条件,即可正确解答.
本题难度:困难
3、简答题 如图所示,B为位于水平地面上的质量为M的长方形空心盒子,盒内存在着竖直向上场强大小为E= 的匀强电场.A为位于一定高度处的质量为m、带电荷量为+q的小球,且M=2m,盒子与地面间的动摩擦因数μ=0.2,盒外没有电场.盒子的上表面有一些略大于小球直径的小孔,孔间距满足一定的关系,使得小球进出盒子的过程中始终不与盒子接触.当小球A以1m/s的速度从孔1进入盒子的瞬间,盒子B恰以v1=6m/s的速度向右滑行.已知盒子通过电场对小球施加的作用力与小球通过电场对盒子施加的作力大小相等方向相反.设盒子足够长,取重力加速度g=10m/s2,小球恰能顺次从各个小孔进出盒子.试求:
 (1)小球A从第一次进入盒子到第二次进入盒子所经历的时间; (2)盒子上至少要开多少个小孔,才能保证小球始终不与盒子接触; (3)从小球第一次进入盒子至盒子停止运动的过程中,盒子通过的总路程.
参考答案:(1)A在盒子内运动时,qE-mg=ma E=2mgq 由以上两式得 a=g=10m/s2? A在盒子内运动的时间t1=2va=0.2s A在盒子外运动的时间t2=2vg=0.2s A从第一次进入盒子到第二次进入盒子的时间T=t1+t2=0.4s (2)小球在盒子内运动时,盒子的加速度a1=μ(Mg+qE)M=4m/s2 小球在盒子外运动时,盒子的加速度a2= μMgM=2m/s2 小球运动一个周期盒子减少的速度为△v=a1t1+a2t2=4×0.2+2×0.2=1.2m/s 从小球第一次进入盒子到盒子停下,小球运动的周期数为n=v1△v=61.2=5 要保证小球始终不与盒子相碰,小孔数至少为2n+1个,即11个. (3)小球第一次在盒内运动的过程中,盒子前进的距离为s1=v1t1-12a1t21=1.12m 小球第一次从盒子出来时,盒子的速度v2=v1-a1t1=5.2m/s 小球第一次在盒外运动的过程中盒子前进距离s2=v2t2-12a2t22=1m 小球第二次进入盒子时,盒子的速度v3=v2-a2t2=4.8m/s 小球第二次在盒子内运动的过程中,盒子前进的距离为s3=v3t1-12a1t21=0.88m 小球第二次从盒子出来时,盒子的速度v4=v3-a1t1=4m/s 小球第二次在盒外运动的过程中,盒子前进的距离为s4=v4t2-12a2t22=0.76m 分析上述各组数据可知,盒子在每个周期内通过的距离为一等差数列,公差d=0.12m.且当盒子停下时,小球恰要进入盒内,最后0.2s内盒子通过的路程为0.04m.所以从小球第一次进入盒子至盒子停止运动的过程中,盒子通过的总路程为s=n(s1+s10)2=10(1.12+0.04)2=5.8m (1)小球A从第一次进入盒子到第二次进入盒子所经历的时间0.4s (2)盒子上至少要开11个小孔,才能保证小球始终不与盒子接触 (3)从小球第一次进入盒子至盒子停止运动的过程中,盒子通过的总路程5.8m
本题解析:
本题难度:一般
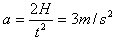
4、计算题 如图所示,水平恒力F=20N,把质量m=0.6kg的木块压在竖直墙上,木块离地面的高度H=6m。木块从静止开始向下作匀加速运动,经过2s到达地面。求: (1)木块下滑的加速度a的大小; (2)画出木块的受力示意图(画在图右的木块上); (3)木块与墙壁之间的滑动摩擦系数(g取10m/s2)。

参考答案:解:(1)由 得 (2) (3)由牛顿第二定律 得
本题解析:
本题难度:一般
5、计算题 (14分)猎狗能以最大速度v1=10m/s持续地奔跑,野兔持续奔跑的最大速度为v2=8m/s。一只野兔在离洞穴x1=200m的草地上吃草,猎狗发现后以最大速度朝野兔沿直线匀速追来。野兔发现后与猎狗相距为x2=60m,其立即掉头加速跑向洞穴(此加速过程视为匀加速直线运动)。若三者始终在同一直线上,求野兔的加速度至少多大才能保证安全回到洞穴?
参考答案:a=4 m/s2
本题解析:猎狗追至洞穴时间t=(x2+x1)/v1=26s(2分) 设野兔加速奔跑时间为t1,则v2=at1(2分) 那么v22/2a+v2(t-t1)=x1(6分) 解得a=4 m/s2(4分) 点评:本题关键找出兔子跑的最慢的临界情况,然后根据速度位移公式和速度时间公式以及几何关系列式求解.此题很经典
本题难度:简单
|