1、选择题 不定项选择
某人用手表估测火车的加速度。先观测3分钟,发现火车前进540m;隔3分钟后又观察l分钟,发现火车前进360m,若火车在这7分钟内做匀加速直线运动,则火车的加速度为( ? )
A.0.03m/s2
B.0.01m/s2
C.0.5m/s2
D.0.6m/s2
参考答案:B
本题解析:
本题难度:简单
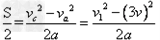
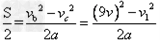
2、计算题 一个做匀加速直线运动的物体,先后经过a、b两点速度分别为3v和9v,经过ab的时间是t,求:
(1)经过ab中点速度v1为多少?
(2)经过ab中间时刻速度v2为多少?
(3)t时间内,前
时间通过位移与后
时间通过位移哪个大?相差多少?
参考答案:解:(1)设ab长为S,匀加速运动的加速度为a,中点位置为c,则ac=cb=
?①
②
由①②式得ab中点速度
(2)ab中间时刻的速度
?
(3)前
时间通过的位移
后
时间通过的位移
?
所以
,后
时间通过的位移大,相差
本题解析:
本题难度:一般
3、选择题 匀加速行驶的汽车,经路旁两根相距50m的电杆共用5s时间,它经过第二根电线杆时的速度是15m/s,则经第一根电线杆的速度为?
[? ]
A.2m/s
B.10m/s
C.2.5m/s
D.5m/s
参考答案:D
本题解析:
本题难度:一般
4、填空题 一物体从光滑斜面顶端无初速下滑,下滑到斜面中点时速度大小为υ1,滑到底端时速度大小为υ2,则υ1∶υ2为________。
参考答案:1∶ 
本题解析:
本题难度:一般
5、选择题 物体做匀减速直线运动,经过3s后停止运动,那么在这3个连续的1s内,汽车通过的位移之比x1:x2:x3为
[? ]
A.1: 3:5
B.5:3:1
C.1:2:3
D.3:2:1
参考答案:B
本题解析:
本题难度:简单