1、计算题 如图12所示,一个半径为R的绝缘光滑半圆环,竖直放在场强为E的匀强电场中,电场方向竖直向下.在环壁边缘处有一质量为m,带有正电荷q的小球,由静止开始下滑,求小球经过最低点时对环底的压力.
参考答案:3(mg+qE)
本题解析:在最低点小球受到竖直向下的重力和电场力,以及竖直向上的支持力,故根据牛顿第二定律可得
过程中只有重力和电场力做功,所以根据动能定理可得
两式联立可得
点评:本题关键是抓住功能关系的不同表现形式进行分析,其中动能定理是功能关系中最常用的一条规律,机械能守恒的条件是除重力外其余力不做功.
本题难度:简单
2、计算题 如图所示,电子电量为
C,质量为
,在O点以水平速度
沿极板中心飞入平行板电容器,已知两极板间距为
,板长为
,电子恰好从上极板的边缘飞出,进入垂直纸面向里的匀强磁场,磁感应强度为
,区域足够大,电子在磁场力的作用下又恰好从下极板边缘进入电场,并在进入电场瞬间改变极板电性,电压大小不变,(电子重力不计)求:

(1)电子第一次通过电场所花的时间。
(2)两极板间的电压大小。
(3)磁场的磁感应强度
为多少?
(4)请在图中画出电子在电场和磁场中运动的所有轨迹(不要求计算)。
参考答案:(1)
?(2)360V(3)
?(4)

本题解析:(1)
s?(1分)
(2)
?
?(2分)
得
V?(1分)
(3)
?(2分)

m/s?(1分)
由几何关系得
m?(1分)
?(1分)
(4)如图所示?(3分,每段1分)

点评:难度中等,对于带电粒子在交替复合场中的运动,首先确定运动的类型,把整体运动分成可独立分析的分过程,逐个分析
本题难度:一般
3、计算题 (21分)
图中左边有一对平行金属板,两板相距为d,电压为V;两板之间有匀强磁场,磁感应强度大小为
,方向平行于板面并垂直于纸面朝里。图中右边有一边长为a的正三角形区域EFG(EF边与金属板垂直),在此区域内及其边界上也有匀强磁场,磁感应强度大小为B,方向垂直于纸面朝里。假设一系列电荷量为q的正离子沿平行于金属板面、垂直于磁场的方向射入金属板之间,沿同一方向射出金属板之间的区域,并经EF边中点H射入磁场区域。不计重力。

(1)已知这些离子中的离子甲到达磁场边界EG后,从边界EF穿出磁场,求离子甲的质量。
(2)已知这些离子中的离子乙从EG边上的I点(图中未画出)穿出磁场,且GI长为
。求离子乙的质量。
(3)若这些离子中的最轻离子的质量等于离子甲质量的一半,而离子乙的质量是最大的,问磁场边界上什么区域内可能有离子到达。
参考答案:
(1)
?
(2)
?
(3)所以,磁场边界上可能有离子到达的区域是:
边上从
到
点。
边上从
到
。
本题解析:(21分)


(1)由题意知,所有离子在平行金属板之间做匀速直线运动,它所受到的向上的磁场力和向下的电场力平衡,有
?①?
式中,
是离子运动的速度,
是平行金属板之间的匀强电场的强度,有
?②?
由①②式得
?③?
在正三角形磁场区域,离子甲做匀速圆周运动。设离子甲质量为
,由洛仑兹力公式和牛顿第二定律有
?④
式中,
是离子甲做圆周运动的半径。离子甲在磁场中的运动轨迹为半圆,圆心为
:这半圆刚好与
边相切于
,与
边交于
点。在
中,
垂直于
。由几何关系得

?⑤
由⑤式得

?⑥
联立③④⑥式得,离子甲的质量为
?⑦?
(2)同理,由洛仑兹力公式和牛顿第二定律有
?⑧
式中,
和
分别为离子乙的质量和做圆周运动的轨道半径。离子乙运动的圆周的圆心
必在
两点之间,又几何关系有
?⑨
由⑨式得
?
?⑩
联立③⑧⑩式得,离子乙的质量为
?(11)
(1)?对于最轻的离子,其质量为
,由④式知,它在磁场中做半径为
的匀速圆周运动。因而与
的交点为
,有
?(12)
(2)当这些离子中的离子质量逐渐增大到m时,离子到达磁场边界上的点的位置从
点沿
边变到
点;当离子质量继续增大时,离子到达磁场边界上的点的位置从
点沿
边趋向于
点。
点到
点的距离为
?(13)
(3)所以,磁场边界上可能有离子到达的区域是:
边上从
到
点。
边上从
到
。
本题难度:一般
4、计算题 由于受地球信风带和盛行西风带的影响,海洋中一部分海水做定向流动,称为风海流,风海流中蕴藏着巨大的动力资源。因为海水中含有大量的带电离子,这些离子随风海流做定向运动,如果有足够强的磁场能使海流中下的正、负离子发生偏转,便可用来发电。如图为一利用风海流发电的磁流体发电机原理示意图,用绝缘材料制成一个横截面为矩形的管道,在管道的上、下两个内表面装有两块金属板M、N,金属板长为a,宽为b,两板间的距离为d。将管道沿风海流方向固定在风海流中,在金属板之间加一水平匀强磁场,磁感应强度大小为B,方向由南向北,用导线将M、N外侧连接电阻为R的航标灯(图中未画出)。工作时,海水从东向西流过管道,在两金属板之间形成电势差,可以对航标灯供电。设管道内海水的流速处处相同,且速率恒为v,海水的电阻率为
,海水所受摩擦阻力与流速成正比,比例系数为k。
(1)求磁流体发电机电动势E的大小,并判断M、N两板哪个板电势较高;
(2)由于管道内海水中有电流通过,磁场对管道内海水有力的作用,求此力的大小和方向;
(3)求在t时间内磁流体发电要消耗的总机械能。

参考答案:解:(1)磁流体发电机电动势
用左手定则判断出正离子向N板偏转,因此N板的电势高
(2)两板间海水的电阻
回路中的电流
磁场对管道内海水的作用力
解得
,方向与υ方向相反(水平向东)
(3)在t时间内管道中海水移动的距离为
在t时间内克服摩擦阻力做的功
克服磁场力做的功
s
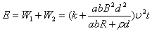
在t时间内磁流体发电机消耗的总机械能
本题解析:
本题难度:困难
5、选择题 如图所示,一带电粒子沿x轴正方向进入一个垂直纸面向里的匀强磁场中,若要使该粒子所受合外力为零(重力不计),应该加的匀强电场的方向是( )
A.+y方向
B.-y方向
C.-x方向
D.因不知q的正负,无法确定