1、填空题 两个大小相等的力,当它们的夹角为90°时,合力为F,则这两个力的大小为?N,这两个力的合力最大值为 N。
参考答案:
???
?
本题解析:设两个力大小为f,夹角为90°时,合力为F=
,解得f=
合力最大值为两力同向时,F’=f+f=
本题难度:简单
2、填空题 两名日本学者和一名美籍日本学科学家10月7日分享了诺贝尔物理学奖。3名物理学家分别通过数学模型“预言”了量子世界自发性对称破缺现象的存在机制和根源,这一模型融合了所有物质最微小组成部分,使4种基本相互作用中的3种在同一理论中得到解释。这里所述的4种基本相互作用是指万有引力、? 、强相互作用、? 。
参考答案:(1)电磁相互作用 ,?(2)弱相互作用
本题解析:力可以从不同的角度划分为重力、弹力,摩擦力,当然从宇宙中力所有的力可以划分为四种基本相互作用,就是万有引力、电磁相互作用、强相互作用、弱相互作用,这四种基本相到作用已被科学家所认知
本题难度:简单
3、实验题 光电计时器是一种研究物体运动情况的常见仪器。当有物体从光电门通过时,光电计时器就可以显示物体的挡光时间,现利用如图甲所示装置探究物体的加速度与合外力、质量的关系,其NQ是水平桌面,PQ是一端带有滑轮的长木板,1、2是固定在木板上的两个光电门(与之连接的两个光电计时器没有画出)。小车上固定着用于挡光的窄片K,测得其宽度为d,让小车从木板的顶端滑下,光电门各自连接的计时器显示窄片K的挡光时间分别为t1和t2。

(1)该实验中,在改变小车的质量M或沙桶的总质量m时,保持M>>m,这样做的目的是____;
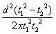
(2)为了计算出小车的加速度,除了测量 d、t1和t2之外,还需要测量___,若上述测量用x表示,则用这些 物理量计算加速度的表达式为a=____;
(3)某位同学经过测量、计算得到如下表所示的数据,请在图乙中作出小车加速度与所受合外力的关系图像。
? 
(4)由图像可以看出,该实验存在着较大的误差,产生误差的主要原因是:______。
参考答案:(1)小车所受合外力大小等于(或约等于)mg
(2)两光电门之间的距离,
(3)
(4)木板倾角偏小(或“平衡摩擦力不足”或“末完全平衡摩擦力”)
本题解析:
本题难度:一般
4、实验题 在验证力的平行四边形定则的实验中,某同学采取了以下三个步骤做实验:
(1)在水平放置的木板上固定一张白纸,把橡皮条的一端固定在木板上,另一端拴两根细绳套,通过细绳套同时用两个测力计互成角度地拉橡皮条,使它与细绳套的结点到达某一位置O点,在白纸上记下O点和两个测力计F1和F2的示数;
(2)在白纸上根据F1和F2的大小,应用平行四边形定则作图求出它们的合力的大小F合;
(3)只用一个测力计通过细绳套拉橡皮条,使它的伸长量与两个测力计拉时相同,记下此时测力计的示数F′和细绳套的方向。
以上三个步骤均有错误或疏漏,请指出它们错在哪里:
在(1)中是__________________________________________;
在(2)中是__________________________________________;
在(3)中是__________________________________________。
参考答案:在(1)中是:应记下两个细绳套的方向,即F1和F2的方向;
在(2)中是:应依据F1和F2的大小和方向作图;
在(3)中是:应将橡皮条与细绳套的结点拉至同一位置O点。
本题解析:
本题难度:一般
5、选择题 用两根绳子吊起一重物,使重物保持静止,若逐渐增大两绳之间的夹角,则两绳对重物的拉力的合力变化情况是( )
A.减小
B.不变
C.增大
D.无法确定
参考答案:重物受到三力平衡,此时两绳对重物的拉力的合力等于重力;当逐渐增大两绳之间的夹角,由于重物仍处于平衡,所以两绳对重物的拉力的合力仍等于重力.因此拉力的合力是不变的,
故选:B
本题解析:
本题难度:简单