| 高中物理知识点总结《弹力》高频试题预测(2018年最新版)(十) 2018-10-01 01:24:43 
                            
           【大 中 小】
               
                | 
 1、实验题  (4分).某同学用如图所示的实验装置来验证“力的平行四边形定则”。弹簧测力计A挂于固定点P,下端用细线挂一重物M。弹簧测力计B的一端用细线系于O点,手持另一端向左拉,使结点O静止在某位置。分别读出弹簧测力计A和B的示数,并在贴于竖直木板的白纸上记录O点的位置和拉线的方向。
  (1)本实验用的弹簧测力计示数的单位为N,图中A的示数为_______N。(保留两位有效数字)
 (2)下列不必要的实验要求是_________。(请填写选项前对应的字母)
 A.应测量重物M所受的重力
 B.弹簧测力计应在使用前校零
 C.拉线方向应与木板平面平行
 D.改变拉力,进行多次实验,每次都要使O点静止在同一位置
 
 
 参考答案:(1)3.6?(2)D 
 本题解析:(1)根据弹簧秤读数规则可读得其示数为3.6N;(2)本实验中重物的重力充当合力,故需要测量,所以A对;弹簧秤应用前调零,以免测量错误 ,所以B对;为减小测量误差,减小阻力影响,实验时应保证用力与木板平行,所以C正确;实验只需记录各个分力及合力的方向和大小,与O点选取的位置无关,故D错误;所以本实验中不必要的实验要求是D。 
 本题难度:简单 
 
 2、选择题  如图所示,一轻弹簧竖直固定在地面上,上端放一质量为m的小球,小球与弹簧不拴接,平衡时弹簧被压缩x0,现用力F缓慢下压小球,使弹簧在弹性限度内再被压缩x0后撤去力F,小球立即向上弹起,上升的最大高度为4x0,重力加速度为g。在小球上升的过程中有:(  )
  A.小球先变加速,后变减速,再匀减速
 B.小球作匀减速运动的时间为
  C.从小球弹起到达到最大速度的过程中克服重力做的功为
  D.刚撤去力F的瞬间,小球的加速度大小为
  
 |  
 参考答案:AD 
 本题解析:开始时弹力大于重力,故变加速上升,从平衡位置到原长,弹力小于重力,小球做变减速,最后离开弹簧时,做匀减速运动,故选项A正确;小球作匀减速运动是离开弹簧后上升2x0的过程,故所用的时间为 ,选项B错误;从小球弹起到达到最大速度的过程中克服重力做的功为  ,选项C错误;根据对称关系,刚撤去力F的瞬间小球的加速度大小应等于小球脱离弹簧的瞬时的加速度,大小为  ,选项D正确;故选AD. 考点:牛顿定律的应用
 
 本题难度:一般 
 
 3、实验题   在“探究求合力的方法”实验中,应进行的步骤有:A.只用一个弹簧秤,通过细绳把橡皮条的结点拉到同样位置0,记下弹簧秤的读数和细线方向
 B.选定一个合适的标度,用力的图示法画出F1、F2和F的图示,用虚线把合力的箭头端分别与两个分力的箭头端连接,分析合力与两个分力之间可能存在什么关系.
 C.记下两个弹簧秤的读数以及结点的位置,描下两条细绳的方向
 D.在桌上平放一块方木块,在方木板上垫一张白纸,把橡皮条的一端固定在板上的A点,用两根细绳结在橡皮条的另一端
 E.通过细绳用两个弹簧秤互成角度拉橡皮条,橡皮条伸长,使结点到达某一位置
 F.改变两个分力的大小和方向,重复上述实验,看看是否与第一次得出的结论一致
 (1)将上述各步骤,按合理操作排序: ED?(用字母表示)
 (2)本实验采用的科学方法是
 A.理想实验法      B.控制变量法
 C.等效替代法      D.建立物理模型法
 
 
 参考答案:(1)DECABF?(2)C 
 本题解析:(1)进行实验时在明确实验原理以及实验目的基础上,要先进行实验设备的安装,即先在桌面上放一块方木板,在木板上垫一张白纸,把橡皮条一端固定在木板的 A点,然后进行实验和有关数据的测量,最后进行数据处理和仪器的整理.所以顺序为DECABF
 (2)本实验每次将橡皮条拉到同样的位置,保证对橡皮条的拉力大小和方向相同,即两次的力的作用效果相同,这种方法叫等效替代法。
 故选C
 点评:明确实验目的和实验步骤是对实验的基本要求,同学们要在实际实验操作去理解实验目的和实验步骤,这样才能对实验有深刻的理解.
 
 本题难度:一般 
 
 4、实验题  (1)某同学用螺旋测微器测定某一金属丝的直径时,测得的结果如图甲所示,则该金属丝的直径d= ?  mm;另一位同学用游标尺测一工件的长度,测得的结果如图乙所示,则该工件的长度L=  ? cm.
  (2)某同学利用如图甲所示的实验装置测量重力加速度.
 ①请指出该同学在实验操作中存在的两处明显错误或不当:
 ?;?.
 
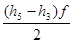
  ②该同学经正确操作得到如图乙所示的纸带,取连续的六个打点A、B、C、D、E、F为计数点,测得点A到B、C、D、E、F的距离分别为h1、h2、h3、h4、h5.若打点的频率为f,则打E点时重物速度的表达式为vE =?;若分别计算出各计数点对应的速度数值,并在坐标系中画出速度的二次方(v2)与距离(h)的关系图线,如图丙所示,则重力加速度g=?m/s2.
 
 
 参考答案:(1)2.706(或2.705 、2.707);? 5.015 (2)①打点计时器应接交流电源 ;重物释放时应紧靠打点计时器② ?;? 9.4 
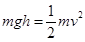
 本题解析:螺旋测微器读数:主尺2.5mm,游标20.5*0.01mm,所以读数为2.705mm,游标卡尺的读法主尺50mm,游标3*0.05mm,所以读数为50.15mm即5.015cm。打点计时器应接交流电源且重物应靠近打点计时器,图中存在明显错误。根据
  可知  ,根据机械能守恒定律  ,可知该图像中斜率为重力加速度2倍,即重力加速度为9.4m/s2。 点评:此类题型考察基本仪器的使用,读图识别图的能力
 
 本题难度:一般 
 
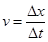
 5、实验题  如图所示,在“研究平抛物体运动”的实验中,用一张印有小方格的纸记录轨迹,小方格的边长为 。若小球在平抛运动途中的几个位置如图中的a、b、c、d所示,则小球平抛的初速度的计算式为  =     ;小球经b点的竖直速度___________;抛出点在a点上方的高度___________。(结果用  、  表示)  
 
 参考答案: ,  ,  
 本题解析:小球在竖直方向上做自由落体运动,在相等的时间内走过的位移差是一个定值,所以有 ,在水平方向上做匀速直线运动,所以  小球在b点的竖直速度为ac两点的竖直平均速度,故
  ,在b点的速度为:  a点竖直方向的速度为
  ,而  ,联立解得:  点评:匀变速直线运动的一切规律都适用于自由落体运动
 
 本题难度:简单 
 There's no wisdom like silence. 保持沉默最聪明。
 |