| 高考省级导航 | |
|
|
|
高考物理知识点总结《弹力》试题强化练习(2018年最新版)(二)
A.平衡摩擦力时,应将装砂的小桶用细绳通过定滑轮系在小车上 B.每次改变小车质量时,要重新平衡摩擦力 C.实验时,先放开小车,再接通打点计时器的电源 D.在小车中增减砝码,应使小车和砝码的质量远大于砂和小桶的总质量 |


| F/N | 0.20 | 0.30 | 0.40 | 0.50 | 0.60 |
| a/m·s-2 | 0.10 | 0.20 | 0.28 | 0.40 | 0.52 |
参考答案:
小题1:B
小题2:D
小题3:0.39 ?、? 0.6
小题4:如图所示
②.没有平衡摩擦力或平衡摩擦力不够③.? B 、? A
本题解析:略
本题难度:一般
3、实验题 (1)利用重锤的自由下落和电磁打点计时器验证机械能守恒定律,下面哪些实验仪器是必需的?(填写仪器前的字母代号).
?
A.天平
B.4~6V的低压直流电源
C.4~6V的低压交流电源
D.停表 E.刻度尺
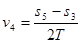
(2)在该实验中,选定了一条较为理想的纸带,如图所示,纸带的?端(选填“左”或“右”)与重物相连;重物由“0”点运动到“4”点,重力势能减少量的表达式为?,动能增量的表达式为?(重锤质量为m,打点计时器的打点周期为T),实验结果发现动能增量总??(填“大于”、“等于”或“小于”)重力势能的减少量,主要的原因是 ??。?
参考答案:(1)CE?
(2)左? mgs4? m(s5-s3)2/8T2?小于?存在空气阻力和纸带与打点计时器间的阻力等
本题解析:(1)利用重锤的自由下落和电磁打点计时器验证机械能守恒定律,下面的实验仪器是必需的:C.4~6V的低压交流电源,E.刻度尺。(2)由图可看出纸带的左端和重物相连,重物由“0”点运动到“4”点,重力势能减少量的表达式为mgs4?,打4点的速度是
,动能增量的表达式为
=m(s5-s3)2/8T2。实验结果发现动能增量总小于重力势能的减少量,主要的原因是存在空气阻力和纸带与打点计时器间的阻力等。
本题难度:一般
4、填空题 某弹簧原长10cm,如果在它的下端挂60N的重物时弹簧的长度变为12cm。当它缩短1.5cm时产生的弹力是??N,当它受到75N的拉力时,它应伸长 ?cm。(在弹性限度内 )
参考答案:45? 2.5
本题解析:由题可知,弹簧受到F1=60N的拉力,伸长是△L1=2cm.当F2=75N,弹簧伸长为:
=
,△L2=
==2.5cm.
当△L3=1.5cm时,受到的拉力:
=
,F3=
=45N.
本题难度:一般
5、选择题 如图所示,质量为10kg的物体静止在水平桌面上,物体与桌面间的动摩擦因数为0.2,现对其施加水平向左的拉力F,(已知重力加速度g=10m/s2,最大静摩擦力等于滑动摩擦力)以下说法正确的是( )
A.物体对桌面的压力就是木块所受的重力,施力物体是地球
B.物体对桌面的压力是弹力,是由于桌面发生形变而产生的
C.若拉力F=12N,物体受到的摩擦力大小为20N,方向向右
D.若拉力F=22N,物体受到的摩擦力大小为20N,方向向右
参考答案:D
本题解析:物体对桌面的压力大小等于木块所受的重力,施力物体是物块,选项A错误;物体对桌面的压力是弹力,是由于物体发生形变而产生的,选项B错误;物体与桌面之间的最大静摩擦力为:
20N,若拉力F=12N,则物体仍静止,受到的摩擦力大小为12N,方向向右,选项C错误;若拉力F=22N,则物体已经滑动,物体受到的滑动摩擦力大小为20N,方向向右,选项D正确;故选D.
考点:重力、弹力和摩擦力.
本题难度:一般
| 【大 中 小】【打印】 【繁体】 【关闭】 【返回顶部】 | |
| 下一篇:高考物理知识大全《平抛运动的运.. | |