1、实验题 “测定匀变速直线运动的加速度”实验是同学们进入高中学习的第一个分组探究实验,在实验过程中,物理老师记录了部分探究实验小组同学的实验过程或行为:
①某实验小组同学走进实验室就开始动用实验器材,实验过程中在实验室到处跑来跑出,实验结束后没有整理实验器材并把没有用的纸带随手乱扔。
②某实验小组安装好实验装置后,先放开小车,再接通电源,打点,给纸带编号,换上新纸带,重复三次实验。
③某实验小组从三条纸带中任意拿出一条纸带,标上记数点(每隔5个自然计时点作为一个计数点)0、1、2、3、4、5,测量各相邻计数点之间的距离,把测量结果填入表中。
④某实验小组在处理数据时讨论,若电源频率高于50HZ,但计算仍按50HZ计算,得出的物体加速度数值将比实际值偏小。
你认为以上实验过程、行为和结论正确的是:?(填序号)
参考答案:④
本题解析:①的实验习惯不好,进实验室不可以直接动用实验器材,实验过程中不可以到处跑来跑出,实验结束后要整理实验器材并整理没有用的纸带。②实验小组安装好实验装置后,应先接通电源,再放开小车,并重复三次实验。③应三条纸带中拿出一条纸带打点清晰,标上记数点 (一般每隔4个自然计时点作为一个计数点)0、1、2、3、4、5,测量各相邻计数点之间的距离,把测量结果填入表中。
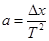
④中,若电源频率高于50HZ,但计算仍按50HZ计算,则代入的周期偏大,那么由
得出的物体加速度数值将比实际值偏小。可见④分析正确。
本题难度:一般
2、选择题 下列各图中,所有接触面都是光滑,物体处于静止状态;P、Q两物体间存在弹力的是( )
A.

B.

C.

D.

参考答案:A、由于重力作用,P压向Q,P、Q间存在挤压,发生弹性形变,P、Q间存在弹力.故A正确.
? B、由于重力作用,P、Q都有向下滚动的趋势,使两球之间存在相互挤压,发生弹性形变,存在弹力.故B正确.
? C、由于重力作用,P压向Q,P、Q间存在挤压,发生弹性形变,P、Q间存在弹力.故C正确.
? D、P、Q尽管接触,P与Q之间没有相互挤压,没有发生弹性形变,不存在弹力,假如存在弹力,两球将发生滚动.故D错误.
故选ABC
本题解析:
本题难度:简单
3、选择题 如图所示,A、B球间一定有弹力作用的是
[? ]
A.
B.
C.
D.
参考答案:B
本题解析:
本题难度:简单
4、填空题 下列的实验步骤是一位同学做“探究弹簧形变与弹力的关系”的实验准备完成的,请你帮这位同学按操作的先后顺序用字母排列出来:______
A.以弹簧伸长量为横坐标,以弹力为纵坐标,描出各组数据(x,F)对应的点,并用平滑的曲线连接起来
B.记下弹簧不挂钩码时,其下端在刻度尺上的刻度L0
C.将铁架台固定于桌子上,并将弹簧的一端系于横梁上,在弹簧附近竖直固定一刻度尺
D.依次在弹簧下端挂上1个、2个、3个、4个…钩码,并分别记下钩码静止时,弹簧下端所对应的刻度并记录在表格内,然后取下钩码
E.以弹簧伸长量为自变量,写出弹力与弹簧伸长量的关系式
F.解释函数表达式中常数的物理意义.
参考答案:先组装器材,即CB,然后进行实验,即D,最后数据处理,即AEF.所以先后顺序为CBDAEF.
故答案为:CBDAEF.
本题解析:
本题难度:一般
5、实验题 (10分)某同学用如图所示的装置测定重力加速度:
(1)电火花计时器的工作电压为___________;频率为____________。
(2)打出的纸带如图所示,实验时纸带的__________(填“甲”或“乙”)端应和生物相连接。

(3)纸带上1至9各点为计时点,由纸带所示数据可算出实验时的加速度为_____
。
(4)当地的重力加速度数值为9.8
,请列出测量值与当地重力加速度的值有差异的一个原因_________________。
参考答案:(1)220V 50Hz(2)乙 (3)9.40 (4)受摩擦和空气阻力,加速度测量值偏小
本题解析:电火花计时器的工作电压与频率分别为220v、50Hz,在自由落体运动过程中物体运动的速度均匀增大,纸带上点的间距会逐渐变大,纸带应于乙端相连接。由
,可求加速度为9.40m/s2,在实验中受摩擦和空气阻力,加速度测量值会存在误差。
本题难度:一般