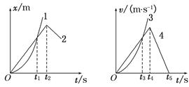
1、选择题 如图所示的x-t图象和v-t图象中,给出的四条曲线1、2、3、4代表四个不同物体的运动情况,关于它们的物理意义,下列描述正确的是?

A.图线1表示物体做曲线运动
B.x-t图象中t1时刻物体1的速度大于物体2的速度
C.v-t图象中0至t3时间内物体4的平均速度大于物体3的平均速度
D.两图象中,t2、t4时刻分别表示物体2、4开始反向运动
2、填空题 某同学利用打点计时器探究加速度与物体所受合外力及质量的关系,得到了如图所示的一条纸带,根据纸带可求出打下B点时小车的速度大小为__________,小车的加速度大小为__________。(保留两位有效数字)

3、填空题 汽车能够达到的最大速度和启动的快慢,是衡量汽车性能的两个重要指标.汽车启动的快慢用速度从0增加到100 km/h的加速时间来表示.右表列出了两种汽车的性能指标,由此可知____________车(填“甲”或“乙”)能够达到的最大速度大;____________车(填“甲”或“乙”)启动得快.
A
| 最大速度/(m·s-1)
| 加速时间/s
|
甲车
| 40
| 12
|
乙车
| 50
| 8
4、选择题 汽车以 72 km / h 的速度通过凸形桥最高点时,对桥面的压力是车重的 3 / 4 ,则当车对桥面最高点的压力恰好为零时,车速为 A.40 km / h B.40 m / s C.120 km / h D.120 m / s
5、简答题 如图所示,物块A的质量为10克,带10-8库的正电荷,A与水平桌面间的动摩擦因数为0.1,B为竖直挡板,A与挡板相距1米.现A以4米/秒的速度向B运动,在A运动的空间里存在着水平向右的匀强电场,场强E=3×106牛/库.设A与B相碰无机械能损失,A在运动中电量不变.求物块A从图示位置开始,到最后停止的过程中,距B板最大距离及通过的总路程.
|