1、选择题  在如图所示的电路中,通过电阻R1的电流I1是( ? )

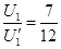
A.I1=
B.I1=
C.I1=
D.I1=
 
	参考答案:BC
	本题解析:由欧姆定律可知电流 ,BC正确
,BC正确
点评:明确电路中电阻、电压、串并联关系,理解串联分压的原理
	本题难度:简单
	        2、选择题  如图所示,R1=2Ω,R2=10Ω,R3=10Ω,A、B两端接在电压恒定的电源上,则 ?(? )

A.S断开时,R1与R2的功率之比为1∶5
B.S闭合时通过R1与R2的电流之比为2∶1
C.S断开与闭合两情况下,电阻R1两端的电压之比为2∶1
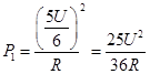
D.S断开与闭合两情况下,电阻R2的功率之比为7∶12
 
	参考答案:AB
	本题解析:A、断开S, 和
和 是串联关系,电路中电流相等,根据
是串联关系,电路中电流相等,根据 可知,功率之比等于电阻之比;正确
可知,功率之比等于电阻之比;正确
B、S闭合后, 、
、 并联,电阻相等,电流均分,为流过
并联,电阻相等,电流均分,为流过 的一半,则
的一半,则 ;正确
;正确
C、断开S时, 分的电压
分的电压 ,闭合S时,
,闭合S时, 分的电压
分的电压 ,
, ;错误
;错误
D、根据 可知,断开S时,
可知,断开S时, ,
, ;闭合S时,
;闭合S时, ,
, ,则
,则 ;错误
;错误
故选AB
点评:难题。深入了解串并联电路的特点,熟练应用各个公式解决实际问题。
	本题难度:一般
	        3、选择题  电阻R1、R2、R3串联在电路中,已知R1=10Ω,R3=5Ω,R1两端的电压为6V,R2两端的电压为12V,则(  )
A.电路中的电流为0.6A
B.电阻R2的阻值为20Ω
C.三只电阻两端的总电压为30V
D.电阻R3两端的电压为4V
 
	参考答案:AB
	本题解析:
	本题难度:一般
	        4、选择题  用伏特表(非理想电表)测得电池两端电压为U,若电池电动势E,则
A.U=E
B.U>E
C.U<E
D.无法确定
 
	参考答案:C
	本题解析:
	本题难度:一般
	        5、简答题  我们知道:小灯泡的电阻随通电电流的增加而非线性地增大.现要测定当一个小灯泡的电阻R0时,通过它的电流大小,选用的实验器材有:
A.待测小灯泡RL:标称值为“2.5V,0.3A”
B.直流电源E:电动势约为6V
C.滑动变阻器R′:标称值为“50Ω,1.5A”
D.微安表μA:量程0~200μA、内阻500Ω?
E.已知定值电阻:R0=6Ω
F.三个可供选择的电阻:R1=3.0kΩ,R2=10kΩ,R3=100kΩ
G.一个单刀单掷开关S1、一个单刀双掷开关S2、导线若干
(1)利用三个可供选择的电阻中的一个或几个,将微安表改装成一个量程略大于2.5V的电压表,将改装表的电路图画在答题卡的方框里,此电压表的量程是______V.
(2)现利用改装好的电压表V和选用的器材设计如图所示的电路来测量通过小灯泡的电流大小.将滑动变阻器R"的滑动触头置于最______端,闭合开关S1.S2先与a连接,测得定值电阻R0两端的电压U0;再将开关S2改接b,测得小灯泡RL两端的电压U1.若U1≠U0,则需反复调节滑动变阻器R′,直到开关S2分别接a和b时,定值电阻R0两端的电压与小灯泡RL两端的电压相同.若测得此时电压表V的示数为1.5V,则通过小灯泡的电流大小为______A.
 
	参考答案:(1)题目要求将微安表改装成一个量程略大于2.5V的电压表,
? 根据电路中电阻串联分压的知识可以得出:
? 如果选用R1改装后,量程U1=(R1+r)×I=0.7V<2.5V;
? 如果选用R2改装后,量程U2=(R2+r)×I=2.1V<2.5V;
? 如果选用R3改装后,量程U3=(R3+r)×I=20.1V>>2.5V;
? 所以选出电阻R1=3.0kΩ,R2=10kΩ能满足题意,
?此电压表的量程Um=(R1+R2+r)×I=2.7V.
(2)实验前滑动变阻器R"的滑动触头置于最左端使电阻处于最大值保护电路.
? 根据定值电阻R0两端的电压与小灯泡RL两端的电压相同可求出电流
∴I=UI=1.56A=0.25A
?故答案是:(1).2.7? (2).左?0.25
	本题解析:
	本题难度:一般