1、选择题  如图所示,在倾角为θ的光滑斜劈P的斜面上有两个用轻质弹簧相连的物块A、B,C为一垂直固定在斜面上的挡板。A、B质量均为m,弹簧的劲度系数为k,系统静止于光滑水平面。现开始用一水平力F从零开始缓慢增大作用于P,(物块A一直没离开斜面,重力加速度g)下列说法正确的是(?)

A.力F较小时A相对于斜面静止,F增加到某一值,A相对于斜面向上滑行
B.力F从零开始增加时,A相对斜面就开始向上滑行
C.B离开挡板C时,弹簧伸长量为
D.B离开挡板C时,弹簧处于原长状态
 
	参考答案:BD
	本题解析:略
来源:91考试网 91exam.org
	本题难度:简单
	        2、选择题  下列说法正确的是(  )
A.汽车车速越快,惯性越大
B.汽车在水平公路上转弯时,车速越快,越容易滑出路面
C.以额定功率运行的汽车,车速越快,牵引力越大
D.汽车拉着拖车加速前进时,它对拖车的拉力与拖车对它的拉力大小相等
 
	参考答案:A、质量是惯性大小的量度,质量大,惯性大,与速度无关.故A错误.
B、根据牛顿第二定律得,f=mv2r,速度大,所需的向心力越大,当静摩擦力不够提供向心力时,汽车会滑出路面.故B正确.
C、根据P=Fv得,功率一定,速度越大,牵引力越小.故C错误.
D、汽车对拖车的拉力和拖车对汽车的拉力是一对作用力和反作用力,大小相等.故D正确.
故选BD.
	本题解析:
	本题难度:简单
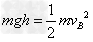
	        3、简答题  A如图所示,质量为2千克的物体,在竖直平面内高h=0.8米的光滑弧形轨道A点,由静止起沿轨道滑下,并进入BC轨道.已知BC段的动摩擦因数?=0.4,求
(1)物体滑至B点时的速度;
(2)物体最后静止处距B点的距离.
 
	参考答案:(1)物体在AB轨道运动时运用动能定理得:
mgh=12mvB2
解得v=
	本题解析:
	本题难度:一般
	        4、选择题  在一高塔顶端同时释放大小相同的实心钛球和空心铁球,与此有关的以下说法中正确的是(  )
①它们受到的空气阻力不同
②它们的加速度相同
③它们落地的速度不同
④它们下落的时间相同.
A.①③
B.②④
C.②
D.③
 
	参考答案:①大小相同的实心钛球和空心铁球,所受的空气阻力相同.故①正确.
②根据牛顿第二定律得,a=mg-fm,知加速度相同,故②正确.
③根据h=12at2得:t=
	本题解析:
	本题难度:一般
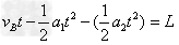
	        5、计算题  如图所示,水平光滑地面上停放着一辆小车,左侧靠在竖直墙壁上,小车的四分之一圆弧轨道AB光滑,在最低点B与水平轨道BC相切,BC的长度L=2m,圆弧半径R=1m,整个轨道处于同一竖直平面内。可视为质点的物块从C点以8m/s初速度向左运动,物块与BC部分的动摩擦因数μ=0.7,已知物块质量为m=1kg,小车的质量M=3.5kg。(g=10m/s2)求: 
(1)物块到达圆轨道最低点B时对轨道的压力,及离开B点上升的最大高度; 
(2)物块滑回B点后再经多长时间离开小车,车运动的最大速度。 

 
	参考答案:解:(1)物块由C 到B 的过程对物块由动能定理得: ?
?
据牛顿第二定律: ?
?
由牛顿第三定律 ,
, N
N
由机械能守恒定律: ?
?
解得: m
m
(2)设物块滑回B点至轨道末端C处分离用时t
对滑块由牛顿第二定律
对小车有: ?
?

解得: s
s
分离时小车速度最大
解得: .33m/s
.33m/s
	本题解析:
	本题难度:一般