高考省级导航

全国 A安徽 B北京 C重庆 F福建 G广东 广西 甘肃 贵州 H河南 河北 湖南 湖北 黑龙江 海南 J江苏 江西 吉林 L辽宁 N内蒙古 宁夏 Q青海 S山东 山西 陕西 四川 上海 T天津
     X新疆 西藏 Y云南 Z浙江

高考物理高频试题、高中物理题库汇总-压中真题已成为一种习惯

★力学★ 运动的描述: 质点、参考系、坐标系 时间与时刻 位移与路程 速度、速率 平均速度和瞬时速度 加速度 电磁打点计时器和电火花计时器 直线运动: 匀速直线运动 匀变速直线运动 匀变速直线运动基本公式应用 匀变速直线运动导出公式应用 自由落体运动 竖直上抛运动 探究小车速度随时间变化的规律 运动的图象 S-t图象 V-t图象 追及相遇问题 相互作用: 力的描述 重力 弹力 弹性形变和弹力 探究弹力和弹簧伸长的关系 摩擦力 滑动摩擦力 静摩擦力 力的合成与分解 平行四边形定则 力的合成 力的分解 正交分解 共点力的平衡 三力平衡 动态平衡分析 力矩平衡 牛顿运动定律: 牛顿第一定律 伽利略理想实验 惯性与质量 牛顿第二定律及应用 对单物体(质点)的应用 对质点系的应用 连接体问题 牛顿定律与图象 超重失重 探究加速度与力、质量的关系 牛顿第三定律 牛顿运动定律与电磁学综合 曲线运动: 曲线运动的特点 运动的合成与分解 位移的合成与分解 速度的合成与分解 小船渡河问题分析 最短时间过河 最短位移过河 拋体运动的规律 平抛运动的概念与轨迹 平抛运动的运动规律 研究平抛运动 斜抛运动 圆周运动 描述圆周运动的物理量 匀速圆周运动 向心力与向心加速度 圆周运动实例分析 离心运动和向心运动 万有引力与航天: 开普勒定律 万有引力定律及其应用 天体的匀速圆周运动的模型 人造卫星与飞船 近地卫星和同步卫星 宇宙速度 功和机械能: 恒力做功 变力做功 功率 功率的概念 机车启动 动能与重力势能 动能 探究功与速度变化的关系 弹性势能 动能定理及应用 动能定理的理解 动能定理的综合应用 摩擦力做功 皮带模型 机械能守恒定律 机械能 机械能守恒及其条件 机械能综合应用 能量守恒定律 功能关系 动量: 动量和冲量 动量 冲量 动量定理 动量守恒定律 碰撞 弹性碰撞 非弹性碰撞 反冲 反冲现象 爆炸 机械振动、机械波: 简谐运动 简谐运动的图象 单摆 用单摆测重力加速度 阻尼振动 受迫振动和共振 机械波的形成和传播 机械波的图象 波的干涉和衍射 多普勒效应 波长、波速和频率的关系 力学综合: 子弹打木块模型 弹簧综合 应用数学知识综合 ★电磁学★ 静电现象: 电荷 库仑定律 静电场 电场强度 电场强度的叠加 电势能和电势 等势面 电势差 电势差与电场强度的关系 静电平衡 静电场中的导体 电容器 电容 平行板电容器的电容 电容器的动态分析 电荷在电场中的加速 电荷在电场中的偏转 电荷在交变电场中的运动 示波管的原理与使用 恒定电流: 电源和电流 电流和电荷量 电阻和欧姆定律 电阻、电阻率 影响导体电阻的因素、电阻定律 导体的伏安特性曲线 电阻定律 电功率和电功 焦耳定律 闭合电路的欧姆定律 电源电动势和内阻 全电路的功和能 含容电路 半导体 超导 串联和并联 电表 电流表的构造及使用 欧姆表 练习使用多用电表 磁场: 磁现象和磁场 磁场、地磁场 磁感应强度 安培分子电流假说 通电导线在磁场中受到的力 安培力及其方向 左手定则 安培力的大小 洛伦兹力 粒子在有界磁场中运动 粒子在复合场中运动 磁场和重力场的复合 磁场、电场和重力场复合 电磁场的应用 质谱仪 回旋加速器 电磁流量计 磁流体发电机 电磁感应: 电磁感应现象 楞次定律 法拉第电磁感应定律及应用 磁通量 互感与自感 电磁感应与力学 电磁感应与电路 电磁感应与图象 电磁感应中切割类问题 电磁感应中磁变类问题 交变电流: 交变电流的产生及规律 描述交变电流的物理量 周期和频率 交流电的最大值与有效值 交流电图象 变压器原理 电能的输送 电感和电容对交流电的影响 示波器的使用 门电路 传感器: 与门、或门、非门 门电路设计与应用 传感器 电磁波: 电磁场与电磁波 电磁波的发射和接收 电磁波谱 电磁场理论 复合场: ★热学★ 分子动理论: 物质由大量分子组成 用油膜法估测分子直径的大小 分子大小与阿伏加德罗常数 分子热运动 扩散 布朗运动 分子间的作用力 分子动能、分子势能、内能 温度、温度计和温标 热力学定律: 热力学第一定律 热力学第二定律 热力学第三定律 热机: 热机原理与热机效率 内燃机原理 电冰箱与空调器 固体: 晶体和非晶体 晶体的微观结构 液体: 液体的表面张力 浸润和不浸润、毛细现象 气体: 气体的状态方程 气体实验定律 饱和汽与饱和气压 空气湿度、湿度计 物态变化中的能量交换: ★光学★ 光的反射和折射: 光的反射定律 光的折射定律 折射率 测定玻璃的折射率 全反射、临界角 光的干涉和衍射: 杨氏干涉实验 用双缝干涉测量光的波长 光的衍射 衍射光栅 光的偏振和色散: 偏振现象 偏振现象的应用 光谱 光的色散、光的颜色 薄膜干涉、衍射、折射中的色散 激光: 激光及其特点 光的粒子性: 光子的动量 光电效应 康普顿效应 物质波 光的波粒二象性 ★原子物理与相对论★ 原子结构: 原子的核式结构 氢原子光谱 玻尔原子理论 原子核: 原子核的组成 原子核的衰变、半衰期 核反应方程 质能方程 放射性的应用与防护 核裂变与核聚变 探测射线的方法 夸克: 宇宙和恒星的演化 相对论: 经典时空观与相对论时空观 狭义相对论的两个基本假设 同时的相对性 时间间隔的相对性 ★物理实验★ 力学实验 热学实验 电磁学实验 光学实验 其他实验 ★物理学史和研究方法★ 物理学史: 研究方法: 整体法隔离法 控制变量法 假设法 等效法 图象法 极限法 微元法 ★单位制及量纲★ ★当代社会热点问题★ ★其他★ 能源和可持续发展:

高考物理试卷《电磁感应》试题特训(2018年最新版)(十)
2018-10-13 00:18:41 【

1、计算题  如图12-16所示,横截面为矩形的管道中,充满了水银,管道的上下两壁为绝缘板,前后两壁为导体板(图中斜线部分),两导体板被一导线cd短路。管道的高度为a,宽度为b,长度为L。当加在管道两端截面上的压强差为P,水银沿管道方向自左向右流动时,作用在这段水银上的粘滞阻力f与速度成正比,即:f=kv.

(1)水银的稳定流速v1为多大?
(2)将管道置于一匀强磁场中,磁场与绝缘壁垂直,磁感应强度为B,方向向上,此时水银的稳定流速v2又是多大?(已知水银的电阻率为ρ,磁场只存在于管道所在的区域,不考虑管道两端之外水银对电路的影响。)


参考答案:v1=Pab/k,


本题解析:解:(1)Pab=Kv1,v1="Pab/k?"
(2)感应电动势,(2分)电阻
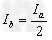
由欧姆定律可得
由平衡条件可得:Pab=BIb+kv2,?(3分)所以


本题难度:一般



2、简答题  

试求:
金属棒MN运动达到稳定状态后,1s钟内外力F所做的功并说明能量的转化是否守恒.


参考答案:能量的转化是守恒的


本题解析:最初MN、PQ均刚好保持静止。根据其受力情况可知MN、PQ与导轨间最大静摩擦力……(1)当用外力F作用MN棒时…(2)
故MN开始沿导轨加速上滑,棒中产生感应电动势,回路中形成感应电流。因此,棒MN又将受到安培力作用。当MN棒所受外力的合力为零时,金属棒MN达最大速度,设为Vm,则
……(3)其中……(4)……(5)?
……(6)考虑此时棒PQ的受力情况,应有保持静止。所以有……(7)?联立(3)至(7)式可得……(8)
金属棒达稳定状态后,1s内位移为……(9)
……(10)对应时间内:

说明能量的转化是守恒的.


本题难度:一般



3、选择题  如图所示,一个闭合矩形金属线圈abcd从一定高度释放,且在下落过程中线圈平面始终在竖直平面上;在它进入一个有直线边界的足够大的匀强磁场的过程中,取线圈dc边刚进磁场时t=0,则描述其运动情况的图线可能是下图中的(  )
A.

B.

C.

D.



参考答案:ABC


本题解析:


本题难度:简单



4、选择题  如图甲所示,光滑的平行导轨MN、PQ固定在水平面上,导轨表面上放着光滑导体棒ab、cd,两棒之间用绝缘细杆连接,两导体棒平行且与导轨垂直.现加一垂直导轨平面的匀强磁场,设磁场方向向下为正,磁感应强度B随时间t的变化规律如图乙所示,t1=2t0,不计ab、cd间电流的相互作用,不计导轨的电阻,每根导体棒的电阻为R,导轨间距和绝缘细杆的长均为L.下列说法正确的是(?)

A.t= t0时轻杆既不被拉伸也不被压缩
B.在0~t1时间内,绝缘细杆先被拉伸后被压缩
C.在0~t1时间内,abcd回路中的电流方向是先顺时针后逆时针
D.若在0~t1时间内流过导体棒的电量为q,则t1时刻的磁感应强度大小为


参考答案:ABD


本题解析:由图乙知,在t0时刻磁感应强度为零,故导体棒受安培力等于零,所以轻杆既不被拉伸也不被压缩,故A正确;在0~t0时间内,磁感应强度减小,磁通量减小,根据楞次定律可知回路产生顺时针感应电流,回路面积由扩张的趋势,所以绝缘细杆被拉伸,在t1~t2时间内,磁感应强度减小,回路磁通量减小,回路产生顺时针电流,回路有收缩的趋势,故绝缘杆被压缩,所以B正确;C错误;在0~t1时间内,回路磁通量的变化量,流过导体棒的电量,可得,所以D正确。


本题难度:一般



5、计算题  如图所示,在磁感应强度为B的水平方向的匀强磁场中竖直放置两平行导轨,磁场方向与导轨所在平面垂直。导轨上端跨接一阻值为R的电阻(导轨电阻不计)。两金属棒a和b的电阻均为R,质量分别为ma=2×10-2 kg和mb=1×10-2 kg,它们与导轨相连,并可沿导轨无摩擦滑动。闭合开关S,先固定b,用一恒力F向上拉,稳定后a以v1=10m/s的速度匀速运动,此时再释放b,b恰好保持静止,设导轨足够长,取g=10m/s2。
(1)求拉力F的大小;
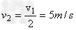
(2)若将金属棒a固定,让金属棒b自由滑下(开关仍闭合),求b滑行的最大速度v2;
(3)若断开开关,将金属棒a和b都固定,使磁感应强度从B随时间均匀增加,经0.1s后磁感应强度增到2B时,a棒受到的安培力正好等于a棒的重力,求两金属棒间的距离h。


参考答案:解:(1)a棒匀速运动,
b棒静止,


(2)当a以v1匀速运动时:?
b恰好保持静止,=?①?
当b自由滑下至匀速运动时:
?②
①②式联立得
(3)

?③
由①③联立得h=
代入数值,得


本题解析:


本题难度:困难



Every why has a wherefore. 凡事必有因.
】【打印繁体】 【关闭】 【返回顶部
下一篇高考物理题《匀变速直线运动》高..

问题咨询请搜索关注"91考试网"微信公众号后留言咨询