1、选择题  下列说法正确的是(  )
A.自由落体运动是物体不受任何作用力的运动?
B.重力加速度的方向总是竖直向下
C.两物体从同一高度自由下落,较重的物体下落较快
D.自由落体运动是初速度为零、加速度为g的竖直下落运动?
 
	参考答案:A、自由落体运动的物体仅受重力.故A错误.
?B、自由落体运动是初速度为零,加速度为g的匀加速直线运动,加速度的方向竖直向下.故B、D正确.
? C、两物体从同一高度自由下落,两物体运动一样快.故C错误.
故选BD.
	本题解析:
	本题难度:简单
	        2、计算题  如图所示,在距水平地面高h1=1.2m的光滑水平台面上,一个质量m=1kg的小物块压缩弹簧后被锁扣K锁住,储存的弹性势能Ep=2J。现打开锁扣K,物块与弹簧分离后将以一定的水平速度向右滑离平台,并恰好从B点沿切线方向进入光滑竖直的圆弧轨道BC。已知B点距水平地面的高h2=0.6m,圆弧轨道BC的圆心O,C点的切线水平,并与水平地面上长为L=2.8m的粗糙直轨道CD平滑连接,小物块沿轨道BCD运动并与右边的竖直墙壁会发生碰撞,重力加速度g=10m/s2,空气阻力忽略不计。试求:

(1)小物块运动到B的瞬时速度vB大小及与水平方向夹角
(2)小物块在圆弧轨道BC上滑到C时对轨道压力Nc大小
(3)若小物块与墙壁碰撞后速度反向、大小变为碰前的一半,且只会发生一次碰撞,那么小物块与轨道CD之间的动摩擦因数μ应该满足怎样的条件.
 
	参考答案:(1)4m/s,60°(2)33.3N(3)
	本题解析:⑴解法一:
小物块由A运动到B的过程中做平抛运动,机械能守恒
?(1分)
?(2分)
根据平抛运动规律有:
?(2分)
解法二:
小物块由A运动到B的过程中做平抛运动,机械能守恒
?(1分)
小物块由A运动到B的过程中做平抛运动,在竖直方向上根据自由落体运动规律可知,
小物块由A运动到B的时间为:
t=
=
s≈0.346s?(1分)
根据平抛运动规律有:
tan
=
,?解得:
=60°?(1分)
?(2分)
⑵根据图中几何关系可知,
h2=R(1-cos∠BOC),解得:R=1.2m?(1分)
根据能的转化与守恒可知,?
?(2分)
对小球在圆弧轨道C点应用牛顿运动定律
?(2分)
⑶依据题意知,
①μ的最大值对应的是物块撞墙前瞬间的速度趋于零,根据能量关系有:
mgh1+Ep>μmgL?代入数据解得:μ<
(2分)
②对于μ的最小值求解,首先应判断物块第一次碰墙后反弹,能否沿圆轨道滑离B点,设物块碰前在D处的速度为v2,由能量关系有:mgh1+Ep=μmgL+
?mv22
第一次碰墙后返回至C处的动能为:EkC=
?mv22-μmgL?可知即使μ=0,有:
?mv22=14J?
?mv22=3.5J<mgh2=6J,小物块不可能返滑至B点?(2分)
故μ的最小值对应着物块撞后回到圆轨道最高某处,又下滑经C恰好至D点停止,因此有:
?mv22≤2μmgL,?联立解得:μ≥
(1分)
综上可知满足题目条件的动摩擦因数μ值:
≤μ<
(1分)
	本题难度:困难
	        3、选择题  一物体从高h处自由下落,经过t秒达到地面,那么它从开始下落经过t/2秒,物体距地面的高度为(  )
A.h/2
B.h/4
C.3h/4
D.3h/8
 
	参考答案:由自由落体的位移公式可知:h=12gt2;
t2s内下落的高度为h′=12g(t2)2=14h;
故物体离地面的高度为h-h′=34h; 
故选C.
	本题解析:
	本题难度:一般
	        4、选择题  一物体做自由落体运动,它前1秒内的平均速度、前2秒内的平均速度、前3秒内的平均速度之比为 
[? ]
A.1:1:1 
B.1:3:5 
C.1:2:3 
D.1:4:9 
 
	参考答案:C
	本题解析:
	本题难度:一般
	        5、计算题  跳伞运动员做低空跳伞表演,他在离地面224m高处,由静止开始在竖直方向做自由落体运动一段时间后,立即打开降落伞,以12.5m/s2的平均加速度匀减速下降,为了运动员的安全,要求运动员落地速度最大不得超过5m/s(g取10m/s2) :
(1)求运动员展开伞时,离地面高度至少为多少?
(2)着地时相当于从多高处自由落下?
(3)求运动员在空中的最短时间是多少?
 
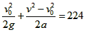
	参考答案:解:(1)设自由落体结束时的速度为v0运动员自由落体的高度:
① 
运动员匀减速运动的高度:
② 
又h1+h2= h ③ 
由①②③得:
v0=50m/s 把v0代入①式得:h1=125m 
运动远离地面的高度:△h = h-h1=99m
(2)由
得: h =52/2×10=1.25m 即运动员相当于从1.25米下落。
(3)运动员自由落体的时间:
由v=gt得 ;
 t1=v/g=50/10=5s 
运动员减速运动的时间:t2=(v-v0)/a=(5-50)/(-12.5) =3.6s 
运动员空中运动的总时间:t=t1+t2=8.6s。
	本题解析:
	本题难度:一般
	        
	  
      
      Most quarrels are inevitable at the time; incredible afterwards. 大多数吵架当时都是不可避免的,事后都是令人难以置信的。