1、选择题 关于物体做曲线运动,下列说法正确的是( )
A.物体在恒力作用下不可能做曲线运动
B.质点作曲线运动,速度的大小一定是时刻在变化
C.作曲线运动的物体,其速度方向与加速度方向不在同一直线上
D.物体在变力作用下不可能作直线运动
参考答案:A、物体做曲线运动的条件是合力与速度不在同一条直线上,合外力大小和方向不一定变化,比如平抛运动受到的就恒力的作用,所以A错误.
B、质点作曲线运动时,速度的方向一定是变化的,但速度的大小不一定变化,比如匀速圆周运动,所以B错误.
C、物体做曲线运动的条件是合力与速度不在同一条直线上,由牛顿第二定律可知,合力的方向与加速度的方向是一样的,所以速度方向与加速度方向不在同一直线上,故C正确.
D、物体做曲线运动的条件是合力与速度不在同一条直线上,当变力的方向与速度的方向相同时,物体就做直线运动,只不过此时的物体的加速度是变化的,物体做的是加速度变化的直线运动,所以D错误.
故选C.
本题解析:
本题难度:简单
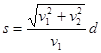
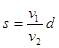
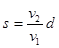
2、选择题 一条河宽为
,河水流速为
,小船在静水中的速度为
,要使小船在渡河过程中所行路程S最短,则( ?)
A.当
>
时,
B.当
<
时,
C.当
>
时,
D.当
<
,
参考答案:C
本题解析:当船速大于水流速时小船能到达正对岸,最短距离为河宽d,当船速小于水流速时,肯定被冲到下游,合速度方向与船速垂直时路程最短,最短路程为
,选C
本题难度:简单
3、选择题 关于曲线运动,下列说法正确的是( ? )
A.曲线运动物体的速度方向保持不变
B.曲线运动的物体受到的合外力不可能是恒力
C.物体受到变力作用时就做曲线运动
D.曲线运动一定是变速运动
参考答案:D
本题解析:
本题难度:简单
4、选择题 如图为在平静海面上,两艘拖船A、B拖着驳船C运动的示意图。A、B的速度分别沿着缆绳CA、CB方向,A、B、C不在一条直线上。由于缆绳不可伸长,因此C的速度在CA、CB方向的投影分别与A、B的速度相等,由此可知C的

(A)速度大小可以介于A、B的速度大小之间
(B)速度大小一定不小于A、B的速度大小
(C)速度方向可能在CA和CB的夹角范围外
(D)速度方向一定在CA和CB的夹角范围内
参考答案:BC
本题解析:速度的合成与分解遵循平行四边形定则。C为合速度,A,B为分速度。C的速度在CA、CB方向的投影分别与A、B的速度相等,速度合成效果图如右图所示,竖直向上的合速度说明C的速度大于A.B的速度,在A,B的夹角内。蓝色的笔迹斜向右方的速度在A方向的速度等于A的速度,在B方向的分速度等于B的速度。不管在A方向的分速度比还是在B方向的分速度比,C的速度都是斜边。因此C的速度大于A/B的速度,而且有可能在CA和CB的夹角范围外所以答案B,C正确。

【考点定位】矢量合成与分解
本题难度:简单
5、选择题 如果两个不在同一直线上的分运动都是匀速直线运动,对其合运动的描述中,正确的是
[? ]
A.合运动一定是曲线运动
B.合运动一定是直线运动
C.合运动是曲线运动或直线运动
D.当两个分运动的速度数值相等时,合运动才为直线运动
参考答案:B
本题解析:
本题难度:简单
Achievement is founded on diligence and wasted upon recklessness. 业精于勤,荒于嬉.