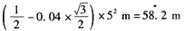
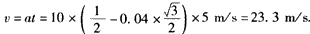
1、计算题 一个滑雪人从静止开始沿山坡滑下,山坡的倾角θ=30°,滑雪板与雪地的动摩擦因数是0.04,求5s内滑下来的路程和5s末的速度大小(g取10m/s2)。
参考答案:解:以滑雪人为研究对象,受力情况如图

研究对象的运动状态为:垂直于山坡方向,处于平衡;沿山坡方向,做匀加速直线运动
将重力mg分解为垂直于山坡方向和沿山坡方向的两个分力,据牛顿第二定律列出方程:
FN-mgcosθ=0 ①
mgsinθ-Ff=ma ②
又因为Ff=μFN ③
由①②③可得:a=g(sinθ-μcosθ)
故

?
本题解析:
本题难度:一般
2、选择题 小船以大小恒定、方向绐终垂直于河岸的速度渡河到对岸,设河水的流速不变,小船在水中渡河的位移、渡河所用时间与河水流速的关系
A.河水流速大时,位移大,时间长
B.河水流速大时,位移大,时间短
C.河水流速大时,位移大,渡河时间与河水流速无关
D.河水流速与渡河位移及渡河时间均无关
参考答案:C
本题解析:
本题难度:简单
3、计算题 (16分)利用电场和磁场,可以将比荷不同的离子分开,这种方法在化学分析和原子核技术等领域有重要的应用。如图所示的矩形区域ACDG(AC边足够长)中存在垂直于纸面的匀强磁场,A处有一狭缝。离子源产生的离子,经静电场加速后穿过狭缝沿垂直于GA边且垂直于磁场的方向射入磁场,运动到GA边,被相应的收集器收集。整个装置内部为真空。已知被加速的两种正离子的质量分别是
和
,电荷量均为
.加速电场的电势差为
,离子进入电场时的初速度可以忽略.不计重力,也不考虑离子间的相互作用。

(1)求质量为
的离子进入磁场时的速率
;
(2)当磁感应强度的大小为B时,求两种离子在GA边落点的间距
.
参考答案:(1)
?(6分)? (2)
(10分)
本题解析:(1)加速电场对离子
做功,由动能定理:
?
解得:
?①
(2)由牛顿第二定律和洛伦兹力公式:
,得:
,
利用①式得离子在磁场中的轨道半径分别为:
,
?②
两种离子在GA上落点的间距:
?③
本题难度:一般
4、计算题 如图所示为某探究活动小组设计的节能运输系统。斜面轨道倾角为30°,质量为M的木箱与轨道的动摩擦因数为
。木箱在轨道顶端时,自动装货装置将质量为m的货物装入木箱,然后木箱载着货物(木箱和货物都可看作质点)沿轨道无初速度滑下,当轻弹簧被压缩至最短时,自动卸货装置立刻将货物卸下,然后木箱恰好被弹回到轨道顶端,再重复上述过程。(重力加速度为g)
(1)求木箱下滑与上滑过程的加速度大小之比(只讨论木箱没有与弹簧接触的阶段)。
(2)证明货物质量m与木箱质量M之比为2:1。

参考答案:解:(1)下滑过程(M+m)gsin300-μ(M+m)gcos300=(M+m)a1
上滑过程Mgsin300+μMgcos300=Ma2
代入数据解得a1:a2=1:3
(2)证明:设下滑的总高度为h,全过程用动能定理
代入数据解得m:M=2:1。
本题解析:
本题难度:一般
5、选择题 如图甲所示,质量不计的弹簧竖直固定在水平面上,t=0时刻,将一金属小球从弹簧正上方某一高度处由静止释放,小球落到弹簧上压缩弹簧到最低点,然后又被弹起离开弹簧,上升到一定高度后再下落,如此反复。通过安装在弹簧下端的压力传感器,测出这一过程弹簧弹力F随时间t变化的图像如图乙如示,则:

[? ]
A.t1时刻小球速度最大
B.t2~t3这段时间内,小球的速度一直增加
C.t1~t2这段时间内,小球的速度先增大后减小
D.t1~t2~t3全过程小球速度先减小后增大且t2时刻速度为0
参考答案:C
本题解析:
本题难度:一般