1、实验题 在“探究碰撞中的守恒量”的实验中,也可以探究“mv2”这个量(对应于动能)的变化情况.
小题1:若采用弓形弹片弹开滑块的方案,如图甲所示,弹开后的mv2的总量____________弹开前mv2的总量(填大于、等于或小于),这是因为_________________________________________.

小题2:若采用图中乙图的方案,碰撞前mv2的总量_________碰后mv2的总量(填大于、等于或小于),说明弹性碰撞中_________守恒.
小题3:若采用图中丙图的方案,碰撞前mv2的总量__________碰后mv2的总量(填大于、等于或小于),说明非弹性碰撞中存在__________损失.
参考答案:
小题1:大于?弹片的弹性势能转化为滑块的动能?
小题2:等于?机械能
小题3:大于?机械能
本题解析:小题1:弹开后的mv2的总量较大,因为弹簧中蓄积着弹性势能,所以在恢复原状的过程中,弹性势能转化为动能,故采用甲方案,弹开后的mv2的总量大于弹开前mv2的总量
小题2:采用乙方案,碰撞前后mv2的总量相等,因为碰撞过程中机械能守恒
小题3:采用丙方案,碰撞中有机械能的损失,所以碰撞前mv2的总量大于碰撞后mv2的总量
本题难度:简单
2、实验题 (8分)某实验小组利用如图甲所示的气垫导轨实验装置来探究合力一定时,物体的加速度与质量之间的关系。

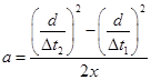
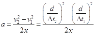
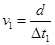
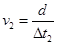
(1)做实验时,将滑块从图甲所示位置由静止释放,由数字计时器(图中未画出)可读出遮光条通过光电门1、2的时间分别为Δt1、Δt2;用刻度尺测得两个光电门中心之间的距离x,用游标卡尺测得遮光条宽度d。则滑块经过光电门1时的速度表达式v1=?;经过光电门2时的速度表达式v2 =?,滑块加速度的表达式a=?。(以上表达式均用已知字母表示)。如图乙所示,若用20分度的游标卡尺测量遮光条的宽度,其读数为?mm。
(2) 为了保持滑块所受的合力不变,可改变滑块质量M和气垫导轨右端高度h(见图甲)。关于“改变滑块质量M和气垫导轨右端高度h”的正确操作方法是?
A.M增大时,h增大,以保持二者乘积增大
B.M增大时,h减小,以保持二者乘积不变
C.M减小时,h增大,以保持二者乘积不变
D.M减小时,h减小,以保持二者乘积减小
参考答案:(1)
;
;
;8.15mm?(2)BC
本题解析:(1)由于运动时间较短,故经过光电门的平均速度近视为瞬时速度,所以滑块经过光电门1时的速度表达式
,经过光电门2时的速度表达式
;加速度
游标卡尺的读数由主尺和游标尺两部分组成.读数为8.15mm;
(2)滑块的合力
,为了保持滑块所受的合力不变,所以M和h 不能同时增大或减小.故选BC.
本题难度:一般
3、实验题 在验证机械能守恒定律的实验中,与纸带相连的质量为1kg的重锤自由下落,打出的纸带如图所示,相邻记数点时间间隔为0.02s, g取9.8m/s2.求:

①打点计时器打下记数点B时,物体的速度VB=?m/s(保留两位有效数字);
②某同学根据纸带上的O点到B点的数据,计算出物体的动能增加量△Ek=0.47J,重力势能减小量△Ep=0.48J,经过多次实验均发现△Ek略小于△Ep,试分析或解释形成这个现象的原因:?.
参考答案:① 0.97m/s? ;?② 重物下落过程中克服摩擦阻力做功消耗了部分重力势能(其它相近说法均可给分)
本题解析:
,重物在下降过程中存在摩擦力的作用,即重物下落过程中克服摩擦力做功消耗了部分重力势能,所以多次试验均发现△Ek略小于△Ep,
本题难度:简单
4、实验题 (1)(5分)如下左图,是研究牛顿第二定律的实验装置,要求用该装置
测定重力加速度g。(已平衡摩擦力)

①按正确操作得到的一条纸带如上右图所示,打相邻两点的时间间隔为T。则车运动的加速度大小a=___________(用s1、s2、s3和T表示)。
②还需要测量的物理量是________________________(明确写出物理量的名称和符号),计算重力加速度的公式g=____________(用该步和 (1) 中测得的物理量a表示)。
参考答案:①(S2-2S1)/T2 或? (S3+S1-2S2)/T2?或(S3-S2-S1)/2T2
②小车的质量M沙桶质量m?(M+m)a/m
本题解析:①由匀变速直线运动在相邻的相等的时间内通过的位移差值相同
可知
②实验过程中沙桶的重力提供整体的加速度,由还需要测量小车的质量M沙桶质量m,由牛顿第二定律
本题难度:简单
5、选择题 关于形变与弹力的说法中正确的是( )
A.只有弹簧才可以产生弹力
B.接触的物体之间发生的形变程度越大,它们之间的弹力越小
C.日常生活中所说的弹簧的“硬”与“软”是指弹簧的轻与重
D.日常生活中所说的弹簧的“硬”与“软”是指弹簧的劲度系数的大小
参考答案:A、相互接触的物体发生弹性形变都能产生弹力,故A错误.
B、接触的物体之间发生的形变程度越大,它们之间的弹力越大,故B错误.
C、日常生活中所说的弹簧的“硬”与“软”是指弹簧的劲度系数大小,弹簧的劲度系数,它描述单位形变量时所产生弹力的大小,k值大,说明形变单位长时需要的力大,或者说弹簧“硬”.k跟弹簧材料、长短、粗细等都有关系,故C错误.
D、根据C选项分析,故D正确.
故选D.
本题解析:
本题难度:简单
Fair words fill not the belly. 甜言蜜语填不饱肚子。