1、实验题 测量电源电动势和内电阻的器材如图A所示,请用实线表示导线,将图A中器材连成实验用电路,实验时经测量得出的数据如下表,请在下图B的方格纸上画出U—I图线。利用图线可求出电源电动势和内电阻分别为?、?。

?
参考答案:
?图像如图所示

本题解析:为了减小误差,应将电压表直接并联在电源两端,电流表与滑动变阻器与电源串联;答案如图所示;

由描点法将各点描出,用直线将各点相连;注意误差较大的点要舍去;

U-I图像中与纵坐标的截距表示电源电动势,故由图可知,电源的电动势为
;图像的斜率表示内阻,所以内阻
;
本题难度:一般
2、选择题 如图,a、b分别表示一个电池组和一只电阻的伏安特性曲线。则以下说法正确的是 (? ).
K]
A.电池组的内阻为3Ω
B.电阻的阻值约为0.33Ω
C.将该电阻接在该电池组两端,电池组的输出功率将是4W
D.改变外电阻的阻值时,该电池组的最大输出功率为4W
参考答案:D
本题解析:跟据图像可知,电池组的电动势为4V,内阻
,故AB错误
将该电阻接在该电池组两端,电池组的输出功率将是UI=3×1=3W,故C错误
改变外电阻的阻值时,该电池组的最大输出功率是内外电阻相等时,大小为
4W,故D正确
故选D
本题难度:简单
3、简答题 如图所示,电源由三节相同的电池串联而成,每节电池的电动势是2V,内阻是0.5Ω,R1=6Ω,R2=2.5Ω,R3=3Ω,电表内阻的影响不计.求:
(1)K断开时:
(2)K闭合时,两种情况下电压表和电流表的示数各多大?
参考答案:(1)K断开时,R1和R2串联,根据闭合电路欧姆定律得
? 电流表的示数为 I=ER1+R2+r=3×26+2.5+3×0.5A=0.6A
? 电压表的示数为 U=E-Ir=3×2-0.6×3×0.5=5.1V
(2)K闭合时,R1和R3并联后再与R2串联,外电路总电阻为 R=R2+R1R3R1+R3=2.5+6×36+3=4.5Ω
? 干路电流为 I干=ER+r=64.5+1.5A=1A
? 电压表的示数为 U′=E-Ir=6-1×3×0.5=4.5V
? 电流表的示数为 I′=R3R1+R3I干=36+3×1A=0.33A
答:
(1)K断开时,电压表的示数为5.1V,电流表的示数为0.6A.
(2)K闭合时,电压表是4.5V,电流表的示数是0.33A.
本题解析:
本题难度:一般
4、选择题 关于电功和电功率以下说法正确的是(? )
A.含有电动机电路中电功不能用公式W=UIt来计算
B.在一切电路中电功都等于电热
C.对任何用电器,电功率公式P=UI均适用
D.当二极管两端加的电压为U,流过它的电流为I,此时二极管的电阻可以用R=U/I来计算
参考答案:CD
本题解析:A选项:计算电功的公式就用W=UIt,A错。B选项:在非纯电阻电路中电功大于电热,B错。
本题难度:一般
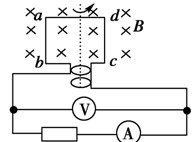
5、计算题 如图所示,线圈abcd的面积是0.05m2,共100匝,线圈电阻忽略不计,外接电阻R=10Ω,匀强磁场的磁感应强度为B=
T,当线圈以
?(rad/s)的角速度匀速旋转时,求:

(1)求线圈中感应电动势的最大值
(2)若从线圈处于中性面开始计时,写出线圈中感应电动势的瞬时值表达式.
(3)电路中电压表和电流表的示数各是多少?
参考答案:(1)50V(2)
?(V)(3)
V?,?
A
本题解析:(1)根据公式
可得
(2)中性面时瞬时电压为0,所以
(3)由闭合电路的欧姆定律得
,
=
V
A
V。
点评:对于交流电表,显示的是交流电的有效值.瞬时值表达式要注意计时起点,不同的计时起点表达式的初相位不同.
本题难度:一般
He is born in a good hour who gets a good name. 生逢其时,美誉自至.