1、计算题 如图所示,在xOy平面上,一个以原点O为中心、半径为R的圆形区域内存在着一匀强磁场,磁场的磁感应强度为B,方向垂直于xOy平面向内。在O处原来静止着一个具有放射性的原子核
(氮),某时刻该核发生衰变,放出一个正电子和一个反冲核。已知正电子从O点射出时沿小x轴正方向,而反冲核刚好不会离开磁场区域,正电子电荷量为e。不计重力影响和粒子间的相互作用。
(1)试写出
的衰变方程;
(2)求正电子离开磁场区域时的位置。

参考答案:解:(1)
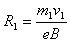
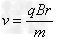
(2)设正电子质量为m1,速度为v1,轨道半径为R1,反冲核质量为m2,速度为v2,轨道半径为R2。如图所示,正电子电荷量为e,反冲核电荷量q=6e。据动量守恒定律,有m1v1=m2v2

正电子的轨道半径
反冲核的轨道半径
据题意知
由以上各式得R1=3R
设正电子离开磁场区域的位置坐标为(x,y),由几何关系得

解得
本题解析:
本题难度:困难
2、计算题 据有关资料介绍,受控核聚变装置中有极高温度,因而带电粒子没有通常意义上的“容器”可装,而是由磁场约束带电粒子运动使之束缚在某个区域内.现按下面的简化条件来讨论这个问题:如图所示是一个截面为内径R1=0.6m 外径R2=1.2m的环状区域,区域内有垂直于截面向里的匀强磁场.已知氦核的比荷
C/kg,磁场的磁感应强度B=0.4T,不计带电粒子的重力.
(1)实践证明,氦核在磁场区域内沿垂直于磁场方向运动速度v的大小与它在磁场运动的轨道半径r有关,试导出v与r的关系式.
(2)若氦核沿磁场区域的半径方向平行于截面从A点射入磁场,画出氦核在磁场中运动而不穿出外边界的最大圆轨道示意图,并求出此圆轨道的半径.
(3)若氦核在平行于截面从A点沿各个方向射入磁场都不能穿出磁场外边界,求氦核的最大速度.

参考答案:解:(1)氦核在磁场区域内沿垂直于磁场方向运动时,由洛仑兹力提供做圆周运动的向心力,有:
,得:
(2)当氦核垂直于内圆从A点射入磁场,并且与外圆相切时轨道半径最大,其运动轨迹如图a所示.三角形OO"A为直角三角形,设此圆轨道的半径为rm,由勾股定理
得:
m

(3)当氦核以速度vm沿与内圆相切方向射入磁场且与外圆相切时,则氦核在平行于截面从A点沿各个方向射入磁场都不能穿出磁场外边界,如图b所示.设此时轨道半径为r",由几何关系,有:
,由
得:

本题解析:
本题难度:一般
3、选择题 一束带电粒子以同一速度v0并从同一位置进入匀强磁场,在磁场中它们的轨迹如图所示。若粒子A的轨迹半径为r1,粒子B的轨迹半径为r2,且r2=2r1,q1、q2分别是它们的带电量,m1、m2分别是它们的质量。则下列分析正确的是

[? ]
A.A带负电、B带正电,荷质比之比为
B.A带正电、B带负电,荷质比之比为
C.A带正电、B带负电,荷质比之比为
D.A带负电、B带正电,荷质比之比为
参考答案:C
本题解析:
本题难度:一般
4、选择题 K-介子衰变的方程为K-→π-+π0,其中K-介子和π-介子带负的基元电荷,π0介子不带电,一个K介子沿垂直于磁场的方向射入匀强磁场中,其轨迹为圆弧AP。衰变后产生的π-介子的轨迹为圆弧PB,两轨迹在P点相切,它们的半径Rπ-与Rπ之比为2:1。π0介子的轨迹未画出。由此可知π的动量大小与π0的动量大小之比为

[? ]
A.1:1
B.1:2
C.1:3
D.1:6
参考答案:C
本题解析:
本题难度:一般
5、计算题 在以坐标原点O为圆心、半径为r的圆形区域内,存在磁感应强度大小为B、方向垂直于纸面向里的匀强磁场,如图所示。一个不计重力的带电粒子从磁场边界与x轴的交点A处以速度v沿-x方向射入磁场,它恰好从磁场边界与y轴的交点C处沿+y,方向飞出。
(1)请判断该粒子带何种电荷,并求出其比荷
;
(2)若磁场的方向和所在空间范围不变,而磁感应强度的大小变为B",该粒子仍从A处以相同的速度射入磁场,但飞出磁场时的速度方向相对于入射方向改变了60°角,求磁感应强度B"是多大?此次粒子在磁场中运动所用时间t是多少?

参考答案:解:(1)由粒子的飞行轨迹,利用左手定则可知,该粒子带负电荷
粒子由A点射入,由C点射出,其速度方向改变了90°,则粒子轨迹半径R=r ①
又
?②
则粒子的比荷
?③

(2)粒子从D点飞出磁场,速度方向改变了60°角,故AD弧所对圆心角为60°,粒子做圆周运动的半径
? ④
又
?⑤
所以
?⑥
粒子在磁场中的飞行时间
⑦
本题解析:
本题难度:困难