1、选择题 如图所示是一个玩具陀螺,a、b和c是陀螺表面上的三个点,当陀螺绕垂直于地面的轴线以角速度ω稳定旋转时,下列表述正确的是( ? )

A.a、b和c三点的线速度大小相等
B.a、b两点的线速度始终相同
C.a、b两点的角速度比c的大
D.a、b两点的加速度比c点的大
参考答案:D
本题解析:
本题难度:简单
2、计算题 某同学设计了一个测定圆周运动角速度的实验在如图所示的装置中,利用喷漆桶能够向外喷射速度一定的油漆(喷射速度v0可选择不同值且为已知),一个直径为D=40cm的纸带环,安放在一个可以按照一定转速转动的固定转台上,纸带环上刻有一个条狭缝A,在狭缝A的正对面画一条标志线。零滴所受的空气阻力极小,可忽略在转台开始转动达到稳定转速时,向侧面同样开有狭缝B的纸盒中喷射油漆滴,当狭缝A转至与狭缝B正对平行时,雾滴便通过狭缝A在纸带的内侧面留下痕迹。改变喷射速度重复实验,在纸带上留下一系列的痕迹a、b、c、d。将纸带从转台上取下来,展开平放,如图甲所示。已知
,请你帮该同学完成下列任务:
? 
(1)设喷射到纸带上的油漆雾滴痕迹到标志线的距离为s,则从图可知,在a、b、c、d四个点中速度最大的雾滴到标志线的距离s1=_________cm;
(2)若雾滴喷射速度为v0,试求解转台转动的角速度
为多少?(用字母表示)
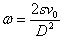
(3)若以纵坐标表示雾滴速度v0、横坐标表示雾滴距标志线距离的倒数1/s,画出v0-1/s图线如图乙所示,试计算转台转动的角速度
值。

参考答案:解:(1)s1=0.70cm
(2)若雾滴喷射速度为v0,则雾滴运动时间为
而转台转动转过角度为
根据纸带长度对应圆弧弧长的关系知:
得
(3)
或者
本题解析:
本题难度:困难
3、选择题 电风扇的扇叶的重心如果不在转轴上,转动时会使风扇抖动,并加速转轴磨损。调整时,可在扇叶的一区域通过固定小金属块的办法改变其重心位置。如图所示,A、B是两调整重心的金属块(可视为质点),其质量相等,它们到转轴O的距离rA<rB。扇叶转动后,它们的(? )

A.向心力FA<FB? B.线速度大小相等
C.向心加速度相等? D.角速度大小相等
参考答案:AD
本题解析:因为A、B两调整重心的金属块固定在风扇上,因此两者绕轴O一起转动,具有了相同的角速度,故选项D正确;根据描述圆周运动的参量间关系a=rω2,v=rω,F=mrω2及rA<rB,mA=mB可知:aA<aB,vA<vB,FA<FB,故选项A正确;选项B、C错误。
本题难度:一般
4、选择题 如图所示的皮带传动装置中,轮B和C同轴,A、B、C分别是三个轮边缘的质点,且其半径RA=RC=2RB,则三质点的向心加速度之比aA:aB:aC等于( )
A.4:2:1
B.2:1:2
C.1:2:4
D.4:1:4