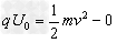
1、计算题  (11分)如图10所示,真空中存在空间范围足够大的、方向水平向右的匀强电场,在电场中,一个质量为m、带电荷量为q的小球,从O点出发,初速度的大小为v0,在重力与电场力的共同作用下恰能沿与场强的反方向成θ角做匀减速直线运动.求:

(1)匀强电场的场强的大小;
(2)小球运动的最高点与出发点之间的电势差.
 
	参考答案:(1) (2)
 (2)
	本题解析:(1)小球做直线运动,故重力与电场力的合力必与v0在一条直线上,即
tanθ= ,得E=
,得E=
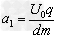
(2)小球做匀减速直线运动,根据F=ma得:
 =ma,a=
=ma,a= ,
,
最大位移s= =
=
水平位移x=scosθ=
电势差U=Ex= .
.
	本题难度:一般
	        2、选择题  如图所示,在x轴的上方有沿y轴负方向的匀强电场,电场强度为E,在x轴的下方等腰三角形CDM区域内有垂直于xOy平面由内向外的匀强磁场,磁感应强度为B,其中C、D在x轴上,它们到原点O的距离均为 ,
, 。现将一质量为m、带电量为q的带正电粒子,从y轴上的P点由静止释放,设P点到O点的距离为h,不计重力作用与空气阻力的影响。下列说法正确的是(  )
。现将一质量为m、带电量为q的带正电粒子,从y轴上的P点由静止释放,设P点到O点的距离为h,不计重力作用与空气阻力的影响。下列说法正确的是(  ) 

A. 若 ,则粒子垂直CM射出磁场
,则粒子垂直CM射出磁场
B.若 ,则粒子平行于x轴射出磁场
,则粒子平行于x轴射出磁场
C.若 ,则粒子垂直CM射出磁场
,则粒子垂直CM射出磁场
D.若 ,则粒子平行于y轴射出磁场
,则粒子平行于y轴射出磁场
 
	参考答案:A
	本题解析:若 ,则由动能定理,到达O点的速度满足:
,则由动能定理,到达O点的速度满足: ,解得
,解得 ,此时粒子在磁场中运动的半径为R=a,可知粒子垂直CM射出磁场,选项A正确,B错误;若
,此时粒子在磁场中运动的半径为R=a,可知粒子垂直CM射出磁场,选项A正确,B错误;若 ,则由动能定理,到达O点的速度满足:
,则由动能定理,到达O点的速度满足: ,解得
,解得 ,此时粒子在磁场中运动的半径为R=
,此时粒子在磁场中运动的半径为R= a则粒子平行于x轴负向射出磁场,选项CD错误,故选A.
a则粒子平行于x轴负向射出磁场,选项CD错误,故选A.
考点:带电粒子在电场及在磁场中的运动.
	本题难度:一般
	        3、选择题  如图所示,M、N为两个固定的等量同种正电荷,在其连线的中垂线上的P点(离O点很近)由静止开始释放一电荷量为-q的点电荷,不计重力,下列说法中正确的是

A.点电荷在从P到O的过程中,加速度越来越大,速度也越来越大
B.点电荷在从P到O的过程中,加速度越来越小,速度也越来越小
C.点电荷运动到O点时加速度为零,速度达最大值
D.点电荷越过O点后,速度越来越小,加速度越来越大,直到粒子速度为零
 
	参考答案:CD
	本题解析:在等量同种电荷连线中垂线上电场强度方向O→P,O点场强为零,因P点离O点很近,故电场强度大小变小;负点电荷q从P点到O点运动的过程中,电场力方向P→O,加速度越来越小,速度越来越大,至O点时速度最大,加速度为零,故AB错误,C正确;越过O点后由能量守恒能运动到P点关于O点对称的另一点,故速度越来越小,加速度越来越大,直至速度减为零,故选项D正确。
	本题难度:一般
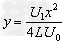
	        4、计算题  飞行时间质谱仪可以根据带电粒子的飞行时间对气体分子进行分析。如图所示,在真空状态下,自脉冲阀P喷出微量气体,经激光照射产生不同正离子,自a板小孔进入a、b间的加速电场,从b板小孔射出,沿中线方向进入M、N板间的方形区域,然后到达紧靠在其右侧的探测器。已知极板a、b间的电压为U0,间距为d,极板M、N的长度和间距均为L。不计离子重力及经过a板时的初速度。
(1)若M、N板间无电场和磁场,请推导出离子从a板到探测器的飞行时间t与比荷k(k= ,q和m分别为离子的电荷量和质量)的关系式;
,q和m分别为离子的电荷量和质量)的关系式;
(2)若在M、N间只加上偏转电压U1,请论证说明不同正离子的轨迹是否重合;
(3)若在M、N间只加上垂直于纸面的匀强磁场。已知进入a、b间的正离子有一价和二价的两种,质量均为m,元电荷为e。要使所有正离子均能通过方形区域从右侧飞出,求所加磁场的磁感应强度的最大值Bm。 

 
	参考答案:解:(1)带电离子在平行板a、b间运动时,根据动能定理 ?①
 ?①
解得: ,即
,即
带电离子在平行板a、b间的加速度 ,即
,即
所以,带电离子在平行板a、b间的运动时间
带电离子在平行板M、N间的运动时间
所以,带电离子的全部飞行时间
(2)正离子在平行板M、N间水平方向运动位移为x时,在竖直方向运动的位移为y
水平方向满足 ?②
?②
竖直方向满足 ? ③
? ③
加速度 ? ④
? ④
由上述②、③、④式得: ? ⑤
? ⑤
⑤式是正离子的轨迹方程,与正离子的质量和电荷量均无关。所以,不同正离子的轨迹是重合的
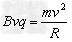
(3)当M、N间磁感应强度大小为B时,离子做圆周运动,满足 ?⑥
?⑥
由上述①、⑥两式,解得:带电离子的轨道半径 ?⑦
?⑦
上式表明:在离子质量一定的情况下,离子的电荷量越大,在磁场中做圆周运动的半径越小,也就越不容易穿过方形区从右侧飞出。所以,要使所有的一价和二价正离子均能通过方形区从右侧飞出,只要二价正离子能从方形区飞出即可。当二价正离子刚好能从方形区域飞出时的磁感应强度为满足题目条件的磁感应强度的最大值
设当离子刚好通过方形区从右侧飞出时的轨道半径为R,由几何关系得
解得: ? ⑧
? ⑧
将二价正离子的电量2e代入⑦式得: ? ⑨
? ⑨
由⑧、⑨式得: ,此值即为所求的磁感应强度的最大值Bm
,此值即为所求的磁感应强度的最大值Bm
	本题解析:
	本题难度:困难
	        5、计算题  (8分)、如图所示,一半径为R的绝缘圆形轨道竖直放置,圆轨道最低点与一条水平轨道相连,轨道都是光滑的.轨道所在空间存在水平向右的匀强电场,场强为E.从水平轨道上的A点由静止释放一质量为m的带正电的小球,为使小球刚好在圆轨道内做圆周运动,求释放点A距圆轨道最低点B的距离s.已知小球受到的电场力大小等于小球重力的 倍.
倍.
 
	参考答案:
	本题解析:本题考查的是静电场与力学综合的问题,已知小球受到的电场力大小等于小球重力的 倍,使小球刚好在圆轨道内做圆周运动,临界点没有在最高点,合力提供向心力,在最高点偏左一点,合力为
倍,使小球刚好在圆轨道内做圆周运动,临界点没有在最高点,合力提供向心力,在最高点偏左一点,合力为 ,根据几何关系可得临界点的高度为
,根据几何关系可得临界点的高度为 ,到竖直方向的距离为
,到竖直方向的距离为 ,在临界点的动能为
,在临界点的动能为 ,在轨道最低点速度为v1,根据动能定理,
,在轨道最低点速度为v1,根据动能定理, ;
; ,解得
,解得 。
。
	本题难度:一般
	        
	  
      
      A ship in harbour is safe-but that is not what ships are for. 船停泊在港中固然安全,可是这并非造船的目的。