|
高考物理知识大全《匀变速直线运动》在线测试(2019年最新版)(八)
2019-05-21 05:18:26
【 大 中 小】
|
1、选择题 下列四个图象中能表示物体做匀速直线运动的是( ) A.
 B.
 C.
 D.

参考答案:A、位移随时间均匀减小,知物体做匀速直线运动.故A正确. B、位移随时间不变,知物体处于静止状态.故B错误. C、物体的速度随时间均匀减小,知物体做匀减速直线运动.故C错误. D、物体的速度随时间均匀增加,知物体做匀加速直线运动.故D错误. 故选A.
本题解析:
本题难度:简单
2、选择题 如图所示为一物体做直线运动的速度-时间图象,下列说法中正确的是( ) A.前两秒和后三秒,物体的运动方向不同 B.前两秒的速度为1m/s,后三秒的速度为2m/s C.前两秒内的加速度为1m/s2,后三秒内的加速度为2m/s2 D.五秒内的位移为8m
| 
参考答案:A、前两秒和后三秒,速度图象都在时间轴的上方,都为正,所以前两秒和后三秒,速度方向未改变,故A错误. B、前两秒的速度和后三秒的速度都是变化的值,故B错误; C、前两秒的速度a=△v△t=2-02=1m/s2,后三秒的速度为a=△v△t=8-23=2m/s2,故C正确; D、五秒内的位移为s=12×2×2+12×(2+8)×3=17m,故D错误. 故选C
本题解析:
本题难度:简单
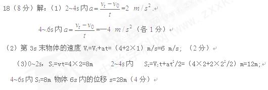
3、简答题 某质点做直线运动的v-t图象如图2- 6-2所示,通过图象回答下列问题: (1)物体在2~4s内,4~6s内加速度各是多大? (2)第3s末物体的速度多大? (3)物体0-6s内的位移多大? 
参考答案:(1)2~4s内,4~6s内加速度分别为2m/s2和-4 m/s2。 (2)6m/s (3)28m
本题解析:

本题难度:简单
4、计算题 一个质量为2kg的物体静止在足够大的水平地面上,物体与地面间的动摩擦因数 。从t=0开始,物体受到一个大小和方向呈周期性变化的水平力F的作用,力F?随时间的变化规律如图9所示。重力加速度 ,?求:
 (1)0~2s时间内物块运动的加速度 的大小和方向; (2) 时物块运动的瞬时速度 的大小和方向; (3)0~6s时间内物块运动的位移的大小和方向。
参考答案:(1) =2m/s2,加速度 的方向向右;(2) =4m/s,速度 的方向向右; (3)x=8.0m方向向右
本题解析: 试题分析: (1)据牛顿第二定律知:

? 1分 加速度 的方向向右。? 1分 (2)据速度公式有:
?1分 速度 的方向向右。?1分 (3)0~2s时间内物块运动的位移为
,方向向右;? 1分 2~4s时间内,物块先向右匀减速运动至速度为零,令加速度 ,用时 ; 据牛顿第二定律有: , 方向向左? 1分 据速度公式有:
?1分 物体向右匀减速运动的位移:
? 1分 2.8~4s时间内物块将向左静止开始匀加速运动,令加速度为 , ,方向向左;?1分 物体向左静止开始匀加速运动的位移: ,向左 4s时物体的速度: ,向左? 1分 4~6s时间内物块先向左匀减速运动,令加速度为 ,据牛顿第二定律知:
? 1分 令向左匀减速到静止所用时间为 ,据速度公式有:
 解得: ? 1分 向左匀减速运动的位移: 之后,4.2s~6s时间内物块从静止开始向右匀加速运动,加速度 向右运动的位移: ? 1分 0~6s时间内的总位移:
? 1分 方向向右。?1分
本题难度:一般
5、选择题 如图所示,一个小球从斜面上的A点由静止开始做匀加速直线运动,经过3 s后到斜面底端B点,并开始在水平地面做匀减速直线运动,又经过9 s停止于C点,设小球经过点B时速度大小不变,则小球在斜面上运动的距离与在水平面上运动的距离之比是(? )
 A.1∶3 B.1∶2 C.1∶1 D.3∶1
参考答案:A
本题解析:AB过程和BC过程均做匀变速直线运动,设B点的速度为V,则AB过程的平均速度与BC过程的平均速度相同为 ,根据位移 得两过程的位移之比为1:3,A正确。
本题难度:一般
|