1、计算题 一平板车的质量M=100kg,停在水平路面上,车身的平板离地面的高度h=1.25m。一质量m=50kg的物块置于车的平板上,它到车尾端的距离b=1.00m,与平板间的动摩擦因数μ=0.20,如图所示。今对平板车施一水平方向的恒力,使车向右行驶,结果物块从车板上滑落,物块刚离开车板的时刻,车向前行驶的距离s0=2.0m,不计路面与平板车间以及轮轴之间的摩擦,取g=10m/s2,求:
(1)物块没有离开平板车时物块的加速度和物块刚要离开平板车时平板车的速度;
(2)物块落地时,落地点到车尾的水平距离是多少?

参考答案:解:(1)以m为研究对象进行分析,m在车板上的水平方向只受一个摩擦力f′的作用,f=μmg,根据牛顿第二定律知:f=ma1,a1=μg=0.20×10m/s2=2m/s2?
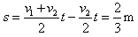
? 如图,m从A点运动到B点,做匀加速直线运动,sAB=s0-b=1.00m,运动到B点的速度υB为:
? υB
m/s=2m/s
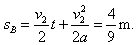
? 物块在平板车上运动时间为t1=υB/a1=2/2=1s,在相同时间里平板车向前行驶的距离s0=2.0m,则有
? s0=
,所以平板车的加速度
m/s2
? 此时平板车的速度为
m/s
(2)m从B处滑落时,以υB为初速度做平抛运动,落到C的水平距离为s1,下落时间为t2,如图所示: ?
? 则
,
s,
m =1.0 m
? 对平板车M,在m未滑落之前,水平方向受二力作用,即F和物块对平板车的摩擦力f,二者方向相反,平板车加速度为a2,由牛顿第二定律得:F-f=Ma2
? 则有:F = Ma2+ f =100×4+0.2×50×10N =500N
? 当m从平板车的B点滑落以后,平板车水平方向只受F作用,而做加速度为a3的匀加速运动,由牛顿第二定律得:F=Ma3,即
m/s2
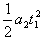
? 在m从B滑落到C点的时间t=0.5s内,M运动距离s2为
m
? 物块落地时,落地点到车尾的水平距离s为s=s2-s1=2.625-1m=1.625m
本题解析:
本题难度:困难
2、计算题 如图所示,在水平面上有A、B两块相同的质量
的木板放在一起不粘连,每块木板长l=1 m,木板与水平面间的动摩擦因数
,木板与水平面间的最大静摩擦力略大于滑动摩擦力,现有一质量
的金属块
以初速度
从A的左端向右滑动,金属块与木板间的动摩擦因数
,取10 m/s2,试求:
(1)金属块滑上B的左端时速度为多少?
(2)金属块停在木块B上何处?
(3)整个过程中木块B的位移。

参考答案:解:(1)AB与地面:
AC间:
故开始时AB静止,对C有:
(2)BC间:
B地间:
则C减速,B加速,设经时间t达共同速度v2,则对B:
,
,
,
此过程C相对B运动
(3)此后BC一起减速,
B位移为:
本题解析:
本题难度:困难
3、选择题 一宇航员到达半径为R、密度均匀的某星球表面,做如下实验:用不可伸长的轻绳拴一质量为m的小球,上端固定在O点,如图甲所示,现在最低点处给小球一初速度,使其绕O点在竖直平面内做圆周运动,通过传感器记录下绳中拉力大小F随时间t的变化规律如图乙所示,已知F1的大小等于7F2,引力常量为G,各种阻力不计,则(? )

A.该星球表面的重力加速度为
B.卫星绕该星球的第一宇宙速度为
C.该星球的质量为
D.小球通过最高点的最小速度为零
参考答案:AC
本题解析:根据图象可知,小球在最低点时,绳的拉力为F1,设此时小球的速度为v1,绳长为r,星球的重力加速度为g,根据牛顿第二定律有:F1-mg=
,同理在最高点时有:F2+mg=
,在由最低点运动至最高点的过程中,根据动能定理有:-2mgr=
-
,联立以上三式解得:g=
,又因为F1=7F2,所以g=
,故选项A正确;设卫星绕该星球的第一宇宙速度为v,该星球的质量为M,根据万有引力定律和牛顿第二定律有:
=
,解得:v=
,故选项B错误;在星球表面处有:
=mg,解得:M=
=
,故选项C正确;小球通过最高点时,根据牛顿第二定律有:F2+mg=
≥mg,所以v2≥
,即小球通过最高点的最小速度为
,故选项D错误。
本题难度:一般
4、选择题 如图所示,滑轮质量不计,三物处于平衡状态,设挂住定滑轮的绳子中的拉力大小为T,若把m2从右移到左边的m1上,则T将?

[? ]
A.增大
B.减小
C.不变
D.无法判断
参考答案:B
本题解析:
本题难度:一般
5、计算题 如图所示,ABCD是一个T型支架,AC与BD垂直,且AB=BC。已知整个支架的质量为M=9kg,重心在BD上离D点为l=0.4m的O点处,BD长为d=0.6m,支架可绕位于水平地面上且过D点的水平轴无摩擦地转动,AC为一斜面,与水平地面间的夹角为θ=37°,C处搁在地面上,现有两个质量均为m=2kg的小滑块由位于C处的弹射器(图中未画出)以v0=6m/s的初速度沿斜面相继弹出而滑上AC斜面,两个滑块弹出的时间差为△t=0.1s,小滑块与斜面间的动摩擦因数为μ=0.5。求:
(1)小滑块沿斜面向上滑的加速度大小;
(2)第二个滑块弹出多少时间时支架将翻转。

参考答案:解:(1)mgsinθ+μmgcosθ=ma
a=gsinθ+μgcosθ=(10×0.6+0.5×10×0.8)m/s2=10m/s2
(2)设第二个滑块滑上的距离为s,对支架由力矩平衡条件得:
Mglsinθ=2μmgdcosθ+mgcosθ(s1-L/2)+mgcosθ(s2-L/2)
s2=v0t-at2/2
s1=v0(t+△t)-a(t+△t)2/2 10×10×0.4×0.6=2×0.5×2×10×0.6×0.8+2×10×0.8(6t-5t2-0.8)+2×10×0.8[6t+0.6-5(t+0.1)2-0.8]
解得:t1=0.2s,t2=1s(不合)
且t1m=v0/a=0.6s,t1<t1m,解答合理
本题解析:
本题难度:困难