1、简答题 如图所示,AB是一倾角为θ=37°的光滑直轨道,BCD是半径为R=0.5m的光滑圆弧轨道,它们相切于B点,C为圆弧轨道的最低点,D为其最高点,A、C两点间的高度差为h=
m.今有一个质量为M=1.5kg的滑块1从A点由静止下滑,与位于C点的质量为m=0.5kg的滑块2发生正碰,碰撞过程中无能量损失.取g=10m/s2.试求:
(1)碰撞后两个滑块的速度大小;
(2)滑块2经过最高点D时对轨道的压力大小;
(3)滑块2从D点离开圆形轨道后落到直轨道上的位置E到B点的距离.
(sin37°=0.6,cos37°=0.8)
参考答案:(1)第1个小球从A到C,由机械能守恒定律得:
Mgh=12Mv21
代入数据,解之得:v=23
本题解析:
本题难度:一般
2、选择题 民族运动会上有一个骑射项目,运动员骑在奔驶的马背上,弯弓放箭射击侧向的固定目标。假设运动员骑马奔驰的速度为v1,运动员静止时射出的弓箭速度为v2。跑道离固定目标的最近距离为d。要想在最短的时间内射中目标,则运动员放箭处离目标的距离应该为(?)

A.
B.
C.
D.
参考答案:B
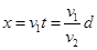
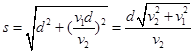
本题解析:当放出的箭垂直于马运行方向发射,此时运行时间最短,所以最短时间
,则箭在沿马运行方向上的位移为
,所以放箭处距离目标的距离为
。
故选B
点评:箭参与了沿马运行方向上的匀速直线运动和垂直于马运行方向上的匀速直线运动,箭的实际运动时两个运动的合运动。
本题难度:一般
3、计算题 把一个质量为0.5kg的小球,以20m/s的初速度竖直向上抛出,运动过程中小球始终受到水平方向大小恒为F=10N的风力的作用,g=10m/s2,求:
(1) 小球上升的最大高度H。
(2)小球在空中滞留的时间。
(3)小球落地点与抛出点之间的水平距离(设地面水平)。
参考答案:(1)
?(2)160m
本题解析:(1)小球同时进行两个方向的运动,竖直方向为竖直上抛,水平方向匀加速直线运动
由竖直上抛分运动
?(1分)
得,
?(1分)
(2) 设单程的时间为t,由公式
?(1分)
留空时间为
?(1分)
(3)水平方向的分运动为初速度为0的匀加速运动
?(2分)
水平距离
?(2分)
本题难度:一般
4、选择题 看图、识图、作图是学好物理的最基本的能力,请根据所学知识分析下面所给的图中,表示物体作匀速直线运动的图象是;(?)
参考答案:B C
本题解析:A是 v--t图象,表示的是物体做初速度为零的正向匀加速运动,B 是x--t图象,表示的是物体做正向匀速,C是v--t图象,表示的是正向匀速,D是x--t图象中抛物线,表示的是物体做正向匀加速,故答案选择B、C。
本题难度:简单
5、填空题 如图,在河岸上用细绳拉船,使小船靠岸,拉绳的速度为v,当拉船头的细绳与水平面的夹角为θ时,船的速度大小为_________。
参考答案:v/cosθ
本题解析:将船的速度沿绳子方向垂直于绳子方向分解,可得
故答案为:
本题难度:简单