1、选择题 如图所示,在水平方向的匀强电场中,绝缘细线的一端固定在圆心O点,另一端系一带正电的小球在竖直平面内做圆周运动,小球所受的电场力大小等于重力大小。其中ac沿竖直方向,bd沿水平方向,ef与水平方向成450,则在a、b、c、d、e、f这六个点中下列判断正确的是?(?)

A.该小球在a处动能最小
B.该小球在c处重力势能最小
C.该小球在b处机械能最大
D.该小球在f处绳的拉力最大
参考答案:BCD
本题解析:考点:
专题:带电粒子在电场中的运动专题.
分析:根据电场力做功判断电势能的变化,根据重力做功判断重力势能的变化,根据除重力以为其它力做功判断机械能变化,根据合外力做功判断小球的动能变化.
解答:解:A、因为电场力和重力相等,故e点为等效最高点,即在e点合外力做的负功最多,所以e点动能最小,故A错误.?
B、物体位置越低,重力势能越小,所以c点小球的重力势能最小,故B正确.
C、除重力以外,其它力所做的功,等于物体的机械能变化量,所以运动过程中到b点,电场力做的正功最多,机械能增大的也最多,故b点具有最大的机械能,故C正确.
D、因为电场力和重力相等,故f点为等效最低点,即在f点速率最大,向心力最大,绳的拉力也最大,故D正确.
故选: BCD
点评:熟练掌握功能关系,并能根据功能关系判断各种能量的变化.
本题难度:简单
2、计算题 在平面直角坐标系xOy中,第I象限存在沿y轴负方向的匀强电场,第Ⅳ象限存在垂直于坐标平 面向外的匀强磁场,磁感应强度为B。一质量为m、电荷量为q的带正电的粒子从y轴正半轴上的M点以速度v0垂直于y轴射入电场,经x轴上的N点与x轴正方向成θ=60°角射入磁场,最后从y轴负半轴上的P点垂直于y轴射出磁场,如图所示,不计粒子重力,求
(1)M、N两点间的电势差UMN;
(2)粒子在磁场中运动的轨道半径r;
(3)粒子从M点运动到P点的总时间t。

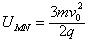
参考答案:解:(1)设粒子过N点时的速度为v,有
?①
v=2v0 ②
粒子从M点运动到N点的过程,有
③
?④

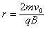
(2)粒子在磁场中以O"为圆心做匀速圆周运动,半径为O"N,有
?⑤
?⑥
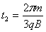
(3)由几何关系得ON=rsinθ ⑦
设粒子在电场中运动的时间为t1,有ON=v0t1 ⑧
?⑨
粒子在磁场中做匀速圆周运动的周期
?⑩
设粒子在磁场中运动的时间为t2,有




t=t1+t2

本题解析:
本题难度:困难
3、计算题 如图所示,在x<0且y<0的区域内存在匀强磁场,磁场方向垂直于xy平面向里.磁感应强度大小为B,在x>0且y<0的区域内存在沿y轴正方向的匀强电场. 一质量为m、电荷量为q的带电粒子从x轴上的M点沿y轴负方向垂直射入磁场,结果带电粒子从y轴的N点射出磁场而进入匀强电场,经电场偏转后打到x轴上的P点,已知
=
=
=l。
不计带电粒子所受重力,

求:(1)带电粒子进入匀强磁场时速度的大小;
(2)带电粒子从射入匀强磁场到射出匀强电场所用的时间;
(3)匀强电场的场强大小.
参考答案:(1)
(2)
(3)
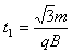
本题解析:(1)设带电粒子射入磁场时的速度大小为v,由带电粒子射入匀强磁场的方向和几何关系可知,带电粒子在磁场中做圆周运动,圆心位于坐标原点,半径为l。
?
?
(2)设带电粒子在磁场中运动时间为
,在电场中运动的时间为
,总时间为t。
?


?
(3)带电粒子在电场中做类平抛运动



联立解得
点评:这类问题的解决思路一般是在电场中做类平抛运动,在磁场中洛伦兹力做向心力,做匀速圆周运动,根据几何关系找出圆心角来求周期,找到半径来求磁场。
本题难度:一般
4、选择题 在长方形abcd区域内有正交的电磁场,ab=bc/2=L,一带电粒子从ad的中点垂直于电场和磁场方向射入,恰沿直线从bc边的中点P射出,若撤去磁场,则粒子从C点射出;若撤去电场,则粒子将(重力不计)

[? ]
A.从b点射出
B.从b、P间某点射出
C.从a点射出
D.从a、b间某点射出
参考答案:C
本题解析:
本题难度:一般
5、计算题 如图所示,板长为L的平行板电容器倾斜固定放置,极板与水平线夹角θ=30°,某时刻一质量为m,带电量为q的小球由正中央A点静止释放,小球离开电场时速度是水平的,(提示:离开的位置不一定是极板边缘)落到距离A点高度为h的水平面处的B点,B点放置一绝缘弹性平板M,当平板与水平夹角α=45°时,小球恰好沿原路返回A点.求:
(1)电容器极板间的电场强度E;
(2)平行板电容器的板长L;
(3)小球在AB间运动的周期T。

参考答案:解:(1)带电粒子沿水平方向做匀加速运动可知
解得:
(2)小球垂直落到弹性挡板上,且
,有
根据动能定理:
解得:
(3)由于小球在复合场中做匀加速运动

解得
平抛运动的时间为
总时间为
本题解析:
本题难度:困难