1、实验题 碰撞的恢复系数的定义为
,其中v10和v20分别是碰撞前两物体的速度,v1和v2分别是碰撞后两物体的速度。弹性碰撞的恢复系数e=1,非弹性碰撞的e<1。某同学借用验证动量守恒定律的实验装置(如图所示)验证弹性碰撞的恢复系数是否为1,实验中使用半径相等的钢质小球1和2,(它们之间的碰撞可近似视为弹性碰撞),且小球1的质量大于小球2的质量。
实验步骤如下:安装好实验装置,做好测量前的准备,并记下重垂线所指的位置O。
第一步:不放小球2,让小球1从斜槽上A点由静止滚下,并落在地面上。重复多次,用尽可能小的圆把小球的所有落点圈在里面,其圆心就是小球落点的平均位置。
第二步:把小球2放在斜槽前端边缘处的C点,让小球1从A点由静止滚下,使它们碰撞。重复多次,并使用与第一步同样的方法分别标出碰撞后两小球落点的平均位置。
第三步:用刻度尺分别测量三个落地点的平均位置离O点的距离,即线段OM、OP、ON的长度。

上述实验中:
(1)P点是_____________的平均位置,M点是_____________的平均位置,N点是_____________的平均位置。
(2)请写出本实验的原理______________________________________________________________________;写出用测量量表示的恢复系数的表达式_________________________。
(3)三个落地点距O点的距离OM、OP、ON与实验所用的小球质量是否有关? ______________________________________________________________________
参考答案:(1)实验的第一步中小球1落点;小球1与小球2碰撞后小球1落点;小球2落点
(2)小球从槽口C飞出后作平抛运动的时间相同,设为t,则有OP=v10t,OM=v1t,ON=v2t
小球2碰撞前静止,v20=0;

(3)OP与小球的质量无关,OM和ON与小球的质量有关
本题解析:
本题难度:困难
2、计算题 如图所示,一质量m1=0.2kg的小球,从光滑水平轨道上的一端A处,以v1=2.5m/s的速度水平向右运动。轨道的另一端B处固定放置一竖直光滑半圆环轨道(圆环半径比细管的内径大得多),轨道的半径R=10cm,圆环轨道的最低点与水平轨道相切;空中有一固定长为15cm的木板DF,F端在轨道最高点C的正下方,竖直距离为5cm。水平轨道的另一端B处有一质量m2=0.2kg的小球,m1、m2两小球在B处发生的是完全弹性碰撞,重力加速度为g=10m/s2。求:
(1)经过C点时,小球m2对轨道的作用力的大小及方向?
(2)m2小球打到木板DF上的位置?

参考答案:解:(1)在B处m1与m2发生的是完全弹性碰撞,有:
?①
?②
由①②式解得:
,
(或因m1与m2发生的是完全弹性碰撞,且
,所以两球交换速度。得
)
由B到C的过程,机械能守恒,有
③
由③代入数据得
在C点,对m2根据牛顿第二定律:
④
由④代入数据得:
,方向竖直向下
据牛顿第三定律知:小球对轨道的作用力大小为0.5N,方向竖直向上
(2)小球从C飞出做平抛运动,有
?⑤
?⑥
由⑤⑥解得:
,所以物体刚好落在木板的D点上
本题解析:
本题难度:困难
3、选择题 如图所示,两个物体1和2置于光滑的水平面上,它们的质量分别为m1和m2,且m1<m2,现将两个大小 均为F、方向相反的恒力同时作用在1和2上,经相同的距离后(两物体还没接触),撤去两个力,此后两物体碰撞并粘在一起,碰撞后,两物体将

[? ]
A.向左运动
B.向右运动
C.停止运动
D.运动,但方向不能确定
参考答案:A
本题解析:
本题难度:一般
4、计算题 如图所示,在光滑水平长直轨道上,A、B两小球之间有一处于原长的轻质弹簧,弹簧右端与B球连接,左端与A球接触但不粘连,已知
,开始时A、B均静止。在A球的左边有一质量为
的小球C以初速度v0,与A球碰撞后粘连在一起,成为一个复合球D,碰撞时间极短。接着逐渐压缩弹簧并使B球运动.经过一段时间后,D球与弹簧分离(弹簧始终处于弹性限度内)。
(1)上述过程中,弹簧的最大弹性势能是多少?
(2)当弹簧恢复原长时B球速度是多大?
(3)若开始时在B球右侧某位置固定一块挡板(图中未画出),在D球与弹簧分离前使B球与挡板发生碰撞,并在碰后立即将挡板撤走,设B球与挡板碰撞时间极短,碰后B球速度大小不变,但方向相反。试求出此后弹簧的弹性势能最大值的范围。

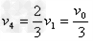
参考答案:解:(1)C与A相碰后速度为
,三个球共同速度为
,得
,得

(2)设弹簧恢复原长时,D球速度为
,B球速度为
?

得
,
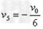
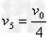
(3)设B球与档板相碰前瞬间D、B两球速度为
、

与档板碰后弹性势能最大(设为
),则D、B两球速度相等,设为
?
整理得

当
时,
最大,
当
时,
最小,

本题解析:
本题难度:困难
5、选择题 在光滑水平面上,一质量为m、速度大小为v的A球与质量为2m静止的B球碰撞后,A球的速度方向与碰撞前相反,则碰撞后B球的速度大小可能是( ? )
A.0.6v
B.0.4v
C.0.3v
D.0.2v
参考答案:A
本题解析:
本题难度:一般