1、实验题 某实验小组利用如图甲所示的气垫导轨实验装置来探究合力一定时,物体的加速度与质量之间的关系。
(1)做实验时,将滑块从图甲所示位置由静止释放,由数字计时器(图中未画出)可读出遮光条通过光电门1、2的时间分别为Δt1、Δt2;用刻度尺测得两个光电门中心之间的距离x,用游标卡尺测得遮光条宽度d。则滑块经过光电门1时的速度表达式v1=______________;经过光电门2时的速度表达式v2=______________,滑块加速度的表达式a=______________(以上表达式均用已知字母表示)。如图乙所示,若用20分度的游标卡尺测量遮光条的宽度,其读数为______________mm。

(2) 为了保持滑块所受的合力不变,可改变滑块质量M和气垫导轨右端高度h(见图甲),关于“改变滑块质量M和气垫导轨右端的高度h”的正确操作方法是______________。
A.M增大时,h增大,以保持二者乘积增大
B.M增大时,h减小,以保持二者乘积不变
C.M减小时,h增大,以保持二者乘积不变
D.M减小时,h减小,以保持二者乘积减小
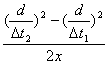
参考答案:(1)
,
,
,8.15
(2)BC
本题解析:
本题难度:一般
2、填空题 一架飞机沿仰角30°方向做匀加速直线运动,初速度大小为100m/s,加速度大小为10m/s2,经过4s时间,它的位移是______m,它的高度增加______m.
参考答案:根据匀加速直线运动位移时间公式得:
x=v0t+12at2=480m
h=xsin30°=480×12=240m
故答案为:480,240
本题解析:
本题难度:一般
3、选择题 对于地球同步卫星的认识,正确的是
A.它们只能在赤道的正上方,但不同卫星的轨道半径可以不同,卫星的加速度为零
B.它们运行的角速度与地球自转角速度相同,相对地球静止
C.不同卫星的轨道半径都相同,且一定在赤道的正上方,它们以第一宇宙速度运行
D.它们可在我国北京上空运行,故用于我国的电视广播
参考答案:B
本题解析:
本题难度:一般
4、选择题 物体做平抛运动时,它的位移方向与水平方向的夹角α的正切tanα随时间t变化的图象为( )
A.

B.

C.

D.

参考答案:在水平方向上有x=vt,在竖直方向上有y=12gt2,则tanα=yx=12gt2vt=g2vt,可见tanα与t成正比.故B正确,A、C、D错误.
故选B.
本题解析:
本题难度:简单
5、简答题 某城市交通部门规定汽车在市区某些街道行驶速度不得超过36km/h,一辆汽车在该水平路段急刹车时车轮抱死,沿直线滑行一段距离后停止,交警测得车轮在地面上滑行的轨迹长x=10m,从手册中查出该车车轮与地面间的动摩擦因数μ=0.72,g取10m/s2.
(1)请你通过计算判断汽车是否超速行驶;
(2)目前,有一种先进的汽车制动装置,可保证车轮在制动时不被抱死,使车轮仍有一定的滚动,安装了这种防抱死装置的汽车,在紧急刹车时可获得比车轮抱死更大的制动力,从而使刹车距离大大减小,假设汽车安装防抱死装置后刹车制动力恒为F,驾驶员的反应时间为t,汽车的质量为m,汽车刹车前匀速行驶的速度为v,试推出驾驶员发现情况后,紧急刹车时的安全距离s的表达式.
参考答案:(1)汽车刹车且车轮抱死后,汽车受滑动摩擦力做匀减速运动,可得汽车的加速度为:a=μg
由0-v02=-2ax可得:
v0=12m/s
因12m/s>10m/s,可知此汽车超速.
(2)刹车距离由两部分组成,一是司机在反应时间内汽车行驶的距离s1,二是刹车后匀减速行驶的距离s2,
则s=s1+s2=vt+v22a
a=Fm
则s=vt+mv22F.
答:(1)该汽车超速;(2)安全距离为s=vt+mv22F.
本题解析:
本题难度:简单