1、计算题 如图示,坐标系xoy位于坚直平面内,所在空间有沿水平方向垂直于纸面向外的匀强磁场,磁感强度为B,在y
参考答案:
本题解析:
本题难度:一般
2、计算题 初速不计的电子经电势差U=300 V的两电极加速后形成一束电子流进入匀强磁场,如图所示,磁场的宽度L=2.5 cm,B=1.46×10-3 T,磁场边界到荧光屏的距离L1=5.0 cm。如果不加磁场,则电子直接打在屏上的O点;加上磁场后,则电子打在屏上的O"点,试求电子束偏移的距离x。(电子质量和电荷量:m=9.1×10-31 kg,e=1.6×10-19 C,
)

参考答案:解:设电子经电场加速后具有速度v,则


电子以速度v进入磁场后,在洛伦兹力作用下做匀速圆周运动,则
,
电子从M点离开磁场时,已偏移了x1的距离,且速度方向转过了θ角度,易求得
?
又由△CDM∽△MNO"得
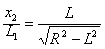
所以根据上二式易求得电子的偏移距离x为
将L=0.025 m、L1=0.050 m及R=0.04 m代入上式可求得x=4.9×10-2 m
本题解析:
本题难度:困难
3、简答题 如图(a)所示,M、N为竖直放置,彼此平行的两块平板,板间距离为d。两板中央各有一个小孔O、O"正对,在两板间有垂直于纸面方向的磁场,磁感强度随时间的变化如图(b)。有一群正离子从t=0时垂直于M板从小孔O射入磁场,已知离子质量为m,带电量为q ,离子在磁场中作匀速圆周运动的周期与磁感强度变化的周期都为
。不考虑由于磁场变化而产生的电场的影响,不计离子所受重力。求: (1)磁感强度
的大小。

(2)要使离子从O"垂直于N板射出磁场,离子射入磁场时的速度应多大?
?
参考答案:(1)?
?(2)
本题解析:
以离子为研究对象

本题难度:简单
4、简答题




(1)ab杆做匀速直线运动过程中,外力F的功率;
(2)
射线源Q是钍核
发生衰变生成镭核
并粒出一个
粒子,完成下列钍核的衰变方程
?;
(3)若
粒子与圆筒壁碰撞5次后恰又从a孔背离圆心射出,忽略
粒子进入加速电场的初速度,求磁感应强度B2。
参考答案:(1)P=1.28W(2)
(3)
本题解析:
(1)当ab杆匀速运动时,
?①? 1分
?②? 1分
?③? 1分
?④? 1分
?⑤? 1分
联立求解①—⑤得
将已知条件代入上式得P="1.28W?" 1分
(2)
?(3分)
(3)此时回路电流强度为
? 1分
加速电场的电压为
? 1分
根据动能定理:

本题难度:一般
5、选择题 如图所示为“滤速器”装置示意图,a、b为水平放置的平行金属板,其电容为C,板间距离为d,平行板内存在垂直纸面向里的匀强磁场,磁感应强度为B、a、b板带上电量,可在平行板内产生匀强电场,且电场方向和磁场方向互相垂直.一带电粒子以速度
经小孔进入正交电磁场可沿直线
运动,由
射出,粒子所受重力不计,则a板所带电量情况是

A.带正电,其电量为
B.带负电,其电量为
C.带正电,其电量为C
D.带负电,其电量为
参考答案:C
本题解析:根据题目意思所谓“滤速器”实际上就是速度选择器,即当电荷在洛伦兹力作用下偏转,使得ab两板带上电荷,从而形成附加电场,当粒子所受电场力和洛伦兹力相等,粒子便不在偏转,即
,根据电容器公式则Q=CU,
,假设粒子带负电,则在洛伦兹力做用下向下偏转,则附加电场向下,负电荷所受电场力向上,因此可以平衡。若假设粒子带正电,则在洛伦兹力做用下向上偏转,则附加电场向下,负电荷所受电场力向下,因此也可以平衡,所以粒子电性并不能判断。综合以上因素,答案为C
点评:此类题型考察了速度选择器工作原理,通过电场力与洛伦兹力平衡,使得符合特定条件的粒子能够出该复合场。
本题难度:简单