1、计算题 如图所示,倾角为37°、足够长的斜面体固定在水平地面上,小木块在沿斜面向上的恒定外力F作用下,从斜面上的A点由静止开始向上作匀加速运动,前进了4.0m抵达B点时,速度为8m/s。已知木块与斜面间的动摩擦因数μ=0.5,木块质量m=1kg。取10 m/s2, sin37°=0.6,cos37°=0.8。
(1)木块所受的外力F多大?
(2)若在木块到达B点时撤去外力F,求木块还能沿斜面上滑的距离S;
(3)为使小木块通过B点的速率为
m/s,求恒力F连续作用的最长时间t。

参考答案:
解:(1)设外加恒力F时小木块的加速度为a1:
?
由匀加速直线运动的规律得:
?
代入数据可求得:F=18N。
(2)设小木块继续上滑的加速度为a2:
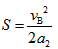
还能上滑的距离
联立解得S=3.2m。
(3)当小木块运动一段时间后撤去外力,且向下运动经过B点的速度为
m/s时,恒力作用的时间有最大值。
设小木块向下运动的加速度为a3,则
向下运动至B点的距离为S3,则
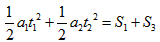
设恒力作用的最长时间为t1,撤去恒力向上减速至零所用时间为t2,则:

?
联立解得
本题解析:
本题难度:困难
2、选择题 如图,木块A放在木板B的左端, A、B间接触面粗糙,用恒力F将木块A拉到木板B的右端.第
一次将B固定在水平地面上,第二次将B放在光滑水平地面上,则前后两个过程中相同的量是?
A.物块A运动的加速度B.物块A的运动时间
C.力F对物块A做的功D.系统产生的摩擦热
参考答案:AD
本题解析:不管木板B是否固定,木块A受到重力、支持力、拉力F和滑动摩擦力f,根据牛顿第二定律有F-μmg =ma,可解得
,因此两种情况下的加速度相同,故A正确;当木板固定时由
得
;当木板放在光滑的水平地面上时,由于A对B摩擦力作用,木板B将向右加速滑动,此时木块A滑动b右端时,A对地面的位移x=L+s,其中s是木板发生的位移,由
,可得
,故两种情况下木块A的运动时间不同;根据W=Fx知,由于两种情况下木块A位移不同,故做的功不同;根据“摩擦生热”公式Q=fS相对可知,两种情况下滑动摩擦力f相同,相对位移相同,所以系统产生的热量相同,故D正确.
本题难度:一般
3、选择题 如图,两个质量分别为m1="3" kg、m2 = 2kg的物体置于光滑的水平面上,中间用轻质弹簧秤连接。两个大小分别为F1 =" 30" N、F2 =" 20" N的水平拉力分别作用在m1、m2上,则(?)

A.弹簧秤的示数是50N
B.弹簧秤的示数是24 N
C.在突然撤去F2的瞬间,m1的加速度大小为2 m/s2
D.在突然撤去F2的瞬间,m2的加速度大小为12 m/s2
参考答案:BCD
本题解析:把m1、m2看成一个整体,则合力为30N-20N=10N,方向向右;则两个物体的加速度为a=
=2m/s2,方向向右;再将m1隔离开来,单独对它进行受力分析,在水平方向上,m1受到F1、弹簧的作用力T,故由牛顿第二定律可得:F1-T=m1a,故T=30N-3kg×2m/s2=24N,故A不对,B是正确的。
在突然撤去F2的瞬间, m1的受力情况没有突然发生改变,故其加速度仍是不变的,仍是2m/s2,故C正确;m2则只受到弹簧的拉力的作用,故此时其加速度的大小为a=
=12m/s2,故D是正确的。
本题难度:一般
4、选择题 匀速前进的车厢顶部用细线竖直悬挂一小球,如图所示,小球下方与一光滑斜面接触。关于小球的受力,说法正确的是?

[? ]
A.重力和绳对它的拉力
B.重力、绳对它的拉力和斜面对它的弹力
C.重力和斜面对球的支持力
D.绳对它的拉力和斜面对它的支持力
参考答案:A
本题解析:
本题难度:简单
5、选择题 如图所示,物体A和B一起沿斜面匀速下滑,则物体A受到的力是

[? ]
A.重力,B对A的支持力
B.重力,B对A的支持力、下滑力
C.重力,B对A的支持力、摩擦力
D.重力,B对A的支持力、摩擦力、下滑力
参考答案:A
本题解析:
本题难度:简单