高考省级导航

全国 A安徽 B北京 C重庆 F福建 G广东 广西 甘肃 贵州 H河南 河北 湖南 湖北 黑龙江 海南 J江苏 江西 吉林 L辽宁 N内蒙古 宁夏 Q青海 S山东 山西 陕西 四川 上海 T天津
     X新疆 西藏 Y云南 Z浙江

高考物理高频试题、高中物理题库汇总-压中真题已成为一种习惯

★力学★ 运动的描述: 质点、参考系、坐标系 时间与时刻 位移与路程 速度、速率 平均速度和瞬时速度 加速度 电磁打点计时器和电火花计时器 直线运动: 匀速直线运动 匀变速直线运动 匀变速直线运动基本公式应用 匀变速直线运动导出公式应用 自由落体运动 竖直上抛运动 探究小车速度随时间变化的规律 运动的图象 S-t图象 V-t图象 追及相遇问题 相互作用: 力的描述 重力 弹力 弹性形变和弹力 探究弹力和弹簧伸长的关系 摩擦力 滑动摩擦力 静摩擦力 力的合成与分解 平行四边形定则 力的合成 力的分解 正交分解 共点力的平衡 三力平衡 动态平衡分析 力矩平衡 牛顿运动定律: 牛顿第一定律 伽利略理想实验 惯性与质量 牛顿第二定律及应用 对单物体(质点)的应用 对质点系的应用 连接体问题 牛顿定律与图象 超重失重 探究加速度与力、质量的关系 牛顿第三定律 牛顿运动定律与电磁学综合 曲线运动: 曲线运动的特点 运动的合成与分解 位移的合成与分解 速度的合成与分解 小船渡河问题分析 最短时间过河 最短位移过河 拋体运动的规律 平抛运动的概念与轨迹 平抛运动的运动规律 研究平抛运动 斜抛运动 圆周运动 描述圆周运动的物理量 匀速圆周运动 向心力与向心加速度 圆周运动实例分析 离心运动和向心运动 万有引力与航天: 开普勒定律 万有引力定律及其应用 天体的匀速圆周运动的模型 人造卫星与飞船 近地卫星和同步卫星 宇宙速度 功和机械能: 恒力做功 变力做功 功率 功率的概念 机车启动 动能与重力势能 动能 探究功与速度变化的关系 弹性势能 动能定理及应用 动能定理的理解 动能定理的综合应用 摩擦力做功 皮带模型 机械能守恒定律 机械能 机械能守恒及其条件 机械能综合应用 能量守恒定律 功能关系 动量: 动量和冲量 动量 冲量 动量定理 动量守恒定律 碰撞 弹性碰撞 非弹性碰撞 反冲 反冲现象 爆炸 机械振动、机械波: 简谐运动 简谐运动的图象 单摆 用单摆测重力加速度 阻尼振动 受迫振动和共振 机械波的形成和传播 机械波的图象 波的干涉和衍射 多普勒效应 波长、波速和频率的关系 力学综合: 子弹打木块模型 弹簧综合 应用数学知识综合 ★电磁学★ 静电现象: 电荷 库仑定律 静电场 电场强度 电场强度的叠加 电势能和电势 等势面 电势差 电势差与电场强度的关系 静电平衡 静电场中的导体 电容器 电容 平行板电容器的电容 电容器的动态分析 电荷在电场中的加速 电荷在电场中的偏转 电荷在交变电场中的运动 示波管的原理与使用 恒定电流: 电源和电流 电流和电荷量 电阻和欧姆定律 电阻、电阻率 影响导体电阻的因素、电阻定律 导体的伏安特性曲线 电阻定律 电功率和电功 焦耳定律 闭合电路的欧姆定律 电源电动势和内阻 全电路的功和能 含容电路 半导体 超导 串联和并联 电表 电流表的构造及使用 欧姆表 练习使用多用电表 磁场: 磁现象和磁场 磁场、地磁场 磁感应强度 安培分子电流假说 通电导线在磁场中受到的力 安培力及其方向 左手定则 安培力的大小 洛伦兹力 粒子在有界磁场中运动 粒子在复合场中运动 磁场和重力场的复合 磁场、电场和重力场复合 电磁场的应用 质谱仪 回旋加速器 电磁流量计 磁流体发电机 电磁感应: 电磁感应现象 楞次定律 法拉第电磁感应定律及应用 磁通量 互感与自感 电磁感应与力学 电磁感应与电路 电磁感应与图象 电磁感应中切割类问题 电磁感应中磁变类问题 交变电流: 交变电流的产生及规律 描述交变电流的物理量 周期和频率 交流电的最大值与有效值 交流电图象 变压器原理 电能的输送 电感和电容对交流电的影响 示波器的使用 门电路 传感器: 与门、或门、非门 门电路设计与应用 传感器 电磁波: 电磁场与电磁波 电磁波的发射和接收 电磁波谱 电磁场理论 复合场: ★热学★ 分子动理论: 物质由大量分子组成 用油膜法估测分子直径的大小 分子大小与阿伏加德罗常数 分子热运动 扩散 布朗运动 分子间的作用力 分子动能、分子势能、内能 温度、温度计和温标 热力学定律: 热力学第一定律 热力学第二定律 热力学第三定律 热机: 热机原理与热机效率 内燃机原理 电冰箱与空调器 固体: 晶体和非晶体 晶体的微观结构 液体: 液体的表面张力 浸润和不浸润、毛细现象 气体: 气体的状态方程 气体实验定律 饱和汽与饱和气压 空气湿度、湿度计 物态变化中的能量交换: ★光学★ 光的反射和折射: 光的反射定律 光的折射定律 折射率 测定玻璃的折射率 全反射、临界角 光的干涉和衍射: 杨氏干涉实验 用双缝干涉测量光的波长 光的衍射 衍射光栅 光的偏振和色散: 偏振现象 偏振现象的应用 光谱 光的色散、光的颜色 薄膜干涉、衍射、折射中的色散 激光: 激光及其特点 光的粒子性: 光子的动量 光电效应 康普顿效应 物质波 光的波粒二象性 ★原子物理与相对论★ 原子结构: 原子的核式结构 氢原子光谱 玻尔原子理论 原子核: 原子核的组成 原子核的衰变、半衰期 核反应方程 质能方程 放射性的应用与防护 核裂变与核聚变 探测射线的方法 夸克: 宇宙和恒星的演化 相对论: 经典时空观与相对论时空观 狭义相对论的两个基本假设 同时的相对性 时间间隔的相对性 ★物理实验★ 力学实验 热学实验 电磁学实验 光学实验 其他实验 ★物理学史和研究方法★ 物理学史: 研究方法: 整体法隔离法 控制变量法 假设法 等效法 图象法 极限法 微元法 ★单位制及量纲★ ★当代社会热点问题★ ★其他★ 能源和可持续发展:

高考物理试卷《电磁感应》考点巩固(2019年最新版)(二)
2019-07-03 00:13:47 【

1、简答题  如图所示,宽度为L=0.20m的足够长的平行光滑金属导轨固定在绝缘水平桌面上,导轨的一端连接阻值为R=0.9Ω的电阻.导轨cd段右侧空间存在垂直桌面向上的匀强磁场,磁感应强度B=0.50T.一根质量为m=10g,电阻r=0.1Ω的导体棒ab垂直放在导轨上并与导轨接触良好.现用一平行于导轨的轻质细线将导体棒ab与一钩码相连,将重物从图示位置由静止释放.当导体棒ab到达cd时,钩码距地面的高度为h=0.3m.已知导体棒ab进入磁场时恰做v=10m/s的匀速直线运动,导轨电阻可忽略不计,取g=10m/s2.求:
(1)导体棒ab在磁场中匀速运动时,闭合回路中产生的感应电流的大小
(2)挂在细线上的钩码的重力大小
(3)求导体棒ab在磁场中运动的整个过程中电阻R上产生的热量.


参考答案:(1)感应电动努为:E=BLv=1.0V
感应电流:I=BLvR+r=0.50×0.20×100.9+0.1A=1A
(2)导体棒匀速运动,安培力与拉力平衡,则有:
BIL=Mg?
所以:M=BILg=0.50×1×0.2010kg=0.01kg
(3)导体棒移动30cm的时间为:t=lv=0.03s
根据焦耳定律有:Q1=I2(R+r)t=0.03J(或Q1=Mgh=0.03J)?
根据能量守有:Q2=12mv2=0.5J
电阻R上产生的热量:Q=(Q1+Q2)RR+r=0.477J
答:(1)导体棒ab在磁场中匀速运动时,闭合回路中产生的感应电流的大小1A;
(2)挂在细线上的钩码的重力大小0.01Kg;
(3)则导体棒ab在磁场中运动的整个过程中电阻R上产生的热量0.477J.


本题解析:


本题难度:一般



2、选择题  导体导电是导体中的自由电荷定向移动的结果,这些可以移动的电荷又叫载流子,例如金属导体中的载流子就是自由电子.现代广泛应用的半导体材料可以分成两大类,一类为N型半导体,它的载流子是电子;另一类为P型半导体,它的载流子是“空穴”,相当于带正电的粒子.如果把某种材料制成的长方体放在匀强磁场中,磁场方向如图所示,且与前后侧面垂直.长方体中通入水平向右的电流,测得长方体的上、下表面M、N的电势分别为φM、φN,则该种材料(  )
A.如果是P型半导体,有φM>φN
B.如果是N型半导体,有φM<φN
C.如果是P型半导体,有φM<φN
D.如果是金属导体,有φM<φN



参考答案:A、如果是P型半导体,载流子是正电荷,根据左手定则,正电荷向下偏,则下表面带正电,则φM<φN.故A错误,C正确.
B、如果是N型半导体,载流子是负电荷,根据左手定则,负电荷向下偏,则下表面带负电,则φM>φN.故B错误.
D、如果是金属导体,则移动的自由电子,根据左手定则,负电荷向下偏,则下表面带负电,则φM>φN.故D错误.
故选C.


本题解析:


本题难度:一般



3、简答题  如图12-4-14所示,质量为m、边长为a的正方形金属线框自某一高度由静止下落,依次经过两磁场区域.已知,且磁场的高度为a.线框在进入的过程中做匀速运动,速度大小为,在中加速一段时间后又匀速进入和穿出时速度恒为,求:

(1)之比
(2)在整个下落过程中线框中产生的焦耳热.


参考答案:1∶4? 3mga


本题解析:(1)线框进入区域作匀速运动,根据平衡条件得:
线框进入区域作匀速运动,根据平衡条件得:?而?故
(2)线框进入区域作匀速运动,所以线框的动能没有变化,重力做的功全部转化为热能,故产生的焦耳热,线框全部进入磁场时,线框的磁通量没有发生变化,所以没有感应电流,故也没有克服安培力做功产生焦耳热.
线框进入区域和离开区域都作匀速运动,所以线框的动能没有变化,重力做的功全部转化为热能,故产生的焦耳热.所以整个下落过程中产生的焦耳热为


本题难度:一般



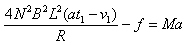
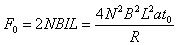
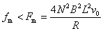
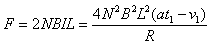
4、计算题  磁悬浮列车是一种高速运载工具,它具有两个重要系统。一是悬浮系统,利用磁力(可由超导电磁铁提供)使车体在导轨上悬浮起来与轨道脱离接触从而减小阻力。另一是驱动系统,即利用磁场与固定在车体下部的感应金属框相互作用,使车体获得牵引力,下图是实验列车驱动系统的原理示意图。在水平面上有两根很长的平行轨道PQ和MN,轨道间有垂直轨道平面的匀强磁场B1和B2,且B1和B2的方向相反,大小相等,即B1=B2=B。在列车的底部固定着绕有N匝相同的闭合矩形金属线圈,并且与之绝缘。整个线圈的总电阻为R,每个矩形金属线圈abcd垂直轨道的边长Lab=L,且两磁场的宽度均与金属线圈ad的边长相同(列车的车厢在图中未画出)。当两磁场B1和B2同时沿导轨方向向右运动时,金属框也会受到向右的磁场力,带动列车沿导轨运动。已知列车车厢及线圈的总质量为M,整个线圈的电阻为R。
(1)假设用两磁场同时水平向右以速度v0作匀速运动来起动列车,为使列车能随磁场运动,列车所受总的阻力大小应满足的条件;
(2)设列车所受阻力大小恒为f,假如使列车水平向右以速度v做匀速运动,求维持列车运动外界在单位时间内需提供的总能量;
(3)设列车所受阻力大小恒为f,假如用两磁场由静止沿水平向右做匀加速运动来起动列车,当两磁场运动的时间为t1时,列车也正在以速度v1向右做匀加速直线运动,求两磁场开始运动后到列车开始起动所需要的时间t0。


参考答案:解:(1)列车静止时,电流最大,列车受到的电磁驱动力最大设为Fm,此时,线框中产生的感应电动势 E1=2NBLv0
线框中的电流I1=
整个线框受到的安培力Fm=2NBI1L
列车所受阻力大小为
(2)当列车以速度v匀速运动时,两磁场水平向右运动的速度为v′,金属框中感应电动势
金属框中感应电流
又因为
求得
当列车匀速运动时,金属框中的热功率为P1=I2R
克服阻力的功率为P2=fv
所以可求得外界在单位时间内需提供的总能量为E=I2R+fv=
(3)根据题意分析可得,为实现列车最终沿水平方向做匀加速直线运动,其加速度必须与两磁场由静止开始做匀加速直线运动的加速度相同,设加速度为a,则t1时刻金属线圈中的电动势
金属框中感应电流
又因为安培力
所以对列车,由牛顿第二定律得
解得
设从磁场运动到列车起动需要时间为t0,则t0时刻金属线圈中的电动势
金属框中感应电流
又因为安培力
所以对列车,由牛顿第二定律得
解得


本题解析:


本题难度:困难



5、填空题  如图所示,有一弯成∠型的金属框架POQ,竖直放置的金属棒MN以v匀速在POQ上水平向右运动,已知∠POQ=30°,在POQ范围内有磁感应强度为B的匀强磁场.那么当MN从O点开始匀速运动过程中,感应电动势和时间的关系式是______.


参考答案:棒以v匀速运动,根据几何关系则有,Lvt=tan30°,所以L=


本题解析:


本题难度:一般



】【打印繁体】 【关闭】 【返回顶部
下一篇高考物理试卷《描述圆周运动的物..

问题咨询请搜索关注"91考试网"微信公众号后留言咨询