1、选择题 如图16-4-6所示,两带电金属球在绝缘的光滑水平桌面上沿同一直线相向运动,A球带电为-q,B球带电为+2q.下列说法中正确的是(?)

图16-4-6
A.相碰前两球的运动过程中,两球的总动量守恒
B.相碰前两球的总动量随两球的距离逐渐减小而增大
C.相碰分离后的两球的总动量不等于相碰前两球的总动量,因为两球相碰前作用力为引力,而相碰后的作用力为斥力
D.相碰分离后任一瞬时两球的总动量等于碰前两球的总动量,因为两球组成的系统合外力为零
参考答案:AD
本题解析:两球水平方向不受外力,所以相碰前后总动量守恒.
本题难度:简单
2、选择题 不定项选择
如图所示,物块A、B静止在光滑水平面上,且mA>mB,现用大小相等的两个力F和F"分别作用在A和B上,使A、B沿一条直线相向运动,然后又先后撤去这两个力,使这两个力对物体做的功相同,接着两物体碰撞并合为一体后,它们( ? )

A.可能停止运动
B.一定向右运动
C.可能向左运动
D.仍运动,但运动方向不能确定
参考答案:B
本题解析:
本题难度:一般
3、选择题 不定项选择
小球D在光滑水平面上以相同的速率分别与原来静止的三个小球A、B、C 相碰(A、B、C与D等大)。D与A碰后,D被反弹回来。D与B碰后,D静止不动。D与C碰后,D继续沿原方向运动。D与A、B、C在碰撞过程中的动能损失均忽略不计,则( ? ?)
A.碰后A球获得的动量最大,获得的动能也最大
B.碰后B球获得的动量最大,获得的动能也最大
C.碰后C球获得的动量最大,B球获得的动能最大
D.碰后A球获得的动量最大,B球获得的动能最大
参考答案:D
本题解析:
本题难度:简单
4、计算题 如图所示,滑块A、C质量均为m,滑块B质量为
。开始时A、B分别以v1、v2的速度沿光滑水平轨道向固定在右侧的挡板运动,现将C无初速地放在A上,并与A粘合不再分开,此时A与B相距较近,B与挡板相距足够远。若B与挡板碰撞将以原速率反弹,A与B碰撞将粘合在一起。为使B能与挡板碰撞两次,v1、v2应满足什么关系?

参考答案:解:设向右为正方向,A与C粘合在一起的共同速度为v",由动量守恒定律得m1=2mv" ①
为保证B碰挡板前A未能追上B,应满足v"≤v2 ②
设A与B碰后的共同速度为v"",由动量守恒定律得
③
为使B能与挡板再次碰撞应满足v"">0 ④
联立①②③④式得
或
本题解析:
本题难度:一般
5、计算题 (1)如图1所示,ABC为一固定在竖直平面内的光滑轨道,BC段水平,AB段与BC段平滑连接。质量为m1的小球从高位h处由静止开始沿轨道下滑,与静止在轨道BC段上质量为m2的小球发生碰撞,碰撞后两球两球的运动方向处于同一水平线上,且在碰撞过程中无机械能损失。求碰撞后小球m2的速度大小v2;

(2)碰撞过程中的能量传递规律在物理学中有着广泛的应用。为了探究这一规律,我们才用多球依次碰撞、碰撞前后速度在同一直线上、且无机械能损失的简化力学模型。如图2所示,在固定光滑水平轨道上,质量分别为
、
……的若干个球沿直线静止相间排列,给第1个球初能
,从而引起各球的依次碰撞。定义其中第n个球经过依次碰撞后获得的动能
与
之比为第1个球对第n个球的动能传递系数
。
a.求
;
b.若
为确定的已知量。求
为何值时,
值最大。

参考答案:解:(1)设碰撞前的速度为v10,根据机械能守恒定律
①
设碰撞后m1与m2的速度分别为v1和v2,根据动量守恒定律
? ②
由于碰撞过程中无机械能损失
? ③
②、③式联立解得
? ④
将①代入④得
(2)a.由④式,考虑到
得根据动能传递系数的定义,对于1、2两球
? ⑤
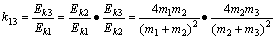
同理可得,球m2和球m3碰撞后,动能传递系数k13应为
? ⑥
依次类推,动能传递系数k1n应为
解得
b.将m1=4m0,m3=m0代入⑥式可得
为使k13最大,只需使
由
?
本题解析:
本题难度:困难