| 高考省级导航 | |
| 
 | |
| 高考物理答题技巧《交流电图象》试题预测(2020年最新版)(二) 
 参考答案:D 本题解析:略 本题难度:一般 4、选择题  在匀强磁场中,一矩形金属线框绕与磁感线垂直的转轴匀速转动,如图1所示。产生的交变电动势的图象如图2所示,则: | 
参考答案:B
本题解析:由图像可知,当t=0.005s时,线框的电动势最大,故它的磁通量变化率最大,故选项A错误;t =0.01s时,线框的电动势为0,所以线框平面与磁场方向垂直,此时它与中性面重合,故选项B正确;线框产生的交变电动势的最大值为311V,有效值为220V,选项C错误;由图像知,交流电的周期为T=0.02s,故线框产生的交变电动势频率为f= =50Hz,选项D错误。
=50Hz,选项D错误。
考点:交流电的产生,有效值与频率。
本题难度:一般
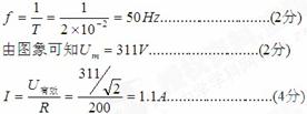
5、计算题  正弦交变电源与电阻R、交流电压表、交流电流表按照图1所示的方式连接,R=200Ω。图2是交变电源输出电压u随时间t变化的图象。则:
(1)此交流电的频率为多少?
(2)输出电压最大值为多少?
(3)电流表的示数为多少?
参考答案:略
本题解析:
本题难度:简单
| 【大 中 小】【打印】 【繁体】 【关闭】 【返回顶部】 | |
| 下一篇:高考物理答题模板《弹力》答题技.. | |