1、填空题 用水平恒力F推动放在光滑水平面上、质量均为m的六个紧靠在一起的木块,如图所示。则第5号木块受到的合外力等于______________,第4号木块对第5号木块的作用力等于______________。

参考答案:F/6,F/3
本题解析:
本题难度:一般
2、简答题 质量分别为m1、m2、m3、m4的四个物体彼此用轻绳连接,放在光滑的桌面上,拉力F1、F2分别水平地加在m1、m4上,如图所示.求物体系的加速度a和连接m2、m3轻绳的张力F.(F1>F2)

参考答案:由于物体系具有相同的向左的加速度,可将它们看成一个整体,整个系统水平方向受F?1、F?2作用,由牛顿第二定律:∴F?1-F?2=(m?1+m?2+m?3+m?4)a解得a=F1-F2m1+m2+m3+m4.
以m?1和m?2两物体为整体,该整体受到向左的和向右的F,加速度为a,取向左为正.
有:F?1-F=(m?1+m?2)a
将a代入可得:F=(m3+m4)F1+(m1+m2)F2m1+m2+m3+m4
故物体系的加速度a为得a=F1-F2m1+m2+m3+m4,连接m?2、m?3轻绳的张力F为(m?3+m?4)F?1+(m?1+m?2)F?2m?1+m?2+m?3+m?4.
本题解析:
本题难度:一般
3、选择题 为了让乘客乘车更为舒适,某探究小组设计了一种新的交通工具,乘客的座椅能随着坡度的变化而自动调整,使座椅始终保持水平,如图所示。当此车减速上坡时,下列说法正确的是(?)

A.乘客处于失重状态
B.乘客所受合力越来越小
C.乘客受到水平向右的摩擦力作用
D.乘客所受力的合力沿斜坡向上
参考答案:A
本题解析:减速上坡时,人的加速度沿斜面向下,竖直方向的分加速度竖直向下,所以人处于失重状态,A对;由牛顿第二定律可知合力变化与加速度变化相同,所以合力变化不能判断,B错;乘客相对小车有向右的运动趋势,所以所受摩擦力向左,C错;同理D对
本题难度:一般
4、选择题 静止的粗糙传送带上有一木块M正以速度v匀速下滑(如图),滑到传送带正中央时,传送带开始以速度v′ 匀速斜向上运动。则木块从A滑到B所需时间与传送带始终静止不动时木块从A滑到B所用时间比较

[? ]
A.两种情况相同
B.前者慢
C.前者快
D.不能确定
参考答案:A
本题解析:
本题难度:一般
5、计算题 (20分)如图所示,装置的左边是足够长的光滑水平面,一轻质弹簧左端固定,右端连接着质量 M=2kg的小物块A。装置的中间是水平传送带,它与左右两边的台面等高,并能平滑对接。传送带始终以u="2m/s" 的速率逆时针转动。装置的右边是一光滑的曲面,质量m=1kg的小物块B从其上距水平台面h=1.0m处由静止释放。已知物块B与传送带之间的摩擦因数μ=0.2,l=1.0m。设物块A、B中间发生的是对心弹性碰撞,第一次碰撞前物块A静止且处于平衡状态。取g=10m/s2。

(1)求物块B与物块A第一次碰撞前速度大小;
(2)通过计算说明物块B与物块A第一次碰撞后能否运动到右边曲面上?
(3)如果物块A、B每次碰撞后,物块A再回到平衡位置时都会立即被锁定,而当他们再次碰撞前锁定被解除,试求出物块B第n次碰撞后的运动速度大小。
参考答案:(1)4m/s?(2)不能?(3)
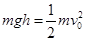
本题解析:(1)设物块B沿光滑曲面下滑到水平位置时的速度大小为v0
由机械能守恒知
?①
?②
设物块B在传送带上滑动过程中因受摩擦力所产生的加速度大小为a
?③
设物块B通过传送带后运动速度大小为v,有
?④
结合②③④式解得
v=4m/s?⑤
由于
=2m/s,所以v=4m/s即为物块B与物块A第一次碰撞前的速度大小
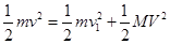
(2)设物块A、B第一次碰撞后的速度分别为V、v1,取向右为正方向,由弹性碰撞知
?⑥
?⑦
解得?
?⑧
即碰撞后物块B沿水平台面向右匀速运动
设物块B在传送带上向右运动的最大位移为
,则
?⑨
?⑩
所以物块B不能通过传送带运动到右边的曲面上
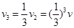
(3)当物块B在传送带上向右运动的速度为零时,将会沿传送带向左加速。可以判断,物块B运动到左边台面是的速度大小为v1,继而与物块A发生第二次碰撞。设第二次碰撞后物块B速度大小为v2,同上计算可知
?11
物块B与物块A第三次碰撞、第四次碰撞……,碰撞后物块B的速度大小依次为
?
?……?12
则第n次碰撞后物块B的速度大小为
?13
?14
本题难度:一般
When an opportunity is neglected, it never comes back to you. 机不可失,时不再来.