微信搜索关注"91考试网"公众号,领30元,获取公务员、事业编、教师等考试资料40G!
1、简答题 “在测铜块的比热容时,先把质量已知的铜块放入沸水中加热,经过一段时间后把它迅速放入质量已知、温度已知的水中,并用温度计测量水的温度.当水温不再上升时,这就是铜块与水的共同温度,根据实验数据就可以计算铜块的比热容,”?以上这段叙述中,哪个地方涉及了“平衡态”和“热平衡”的概念?
参考答案:解:铜块放入沸水中经过加热一段时间后,铜块就和沸水达到“平衡态”,达到“热平衡”,铜块的温度就等于此时沸水的温度,铜块、温度计放入另一已知质量和温度的水中,当温度计温度不再上升时,水、温度计、铜块三个系统此时又达到了“热平衡”,三者的温度相同,此时温度计的读数就是水和铜块的共同温度,把铜块从沸水中取出并迅速放入已知温度和质量的水中到水温不再上升,此过程可认为铜块达到平衡态,备用水也达到平衡态.
本题解析:
本题难度:一般
2、选择题 关于能量转化的下列说法中正确的是( )
A.对蓄电池充电时电能转化为化学能
B.用MP3听音乐时电池把电能转化为化学能
C.太阳能电池把太阳能转化为化学能
D.光合作用把太阳能转化为机械能
参考答案:A
本题解析:
本题难度:一般
3、选择题 不定项选择
下列说法中正确的是( ? )
A.能量只以势能和动能两种形式存在
B.能量只存在于具有高度或处于运动状态的物体中
C.任何物体都具有能量
D.能量的存在形式多种多样,且不同形式的能量之间可以相互转化,并且在转化过程中,总能量是守恒的
参考答案:CD
本题解析:
本题难度:简单
4、选择题 下列说法正确的是
A.一定质量的密封气体膨胀过程中,对外界做功,这些气体的内能可能增加
B.一定质量的气体,温度升高,压强一定增大
C.一定质量的气体,压强增大,体积一定减小
D.俗话说“破镜难从圆”,是由于分子之间存在斥力的原因
参考答案:A
本题解析:由热力学第一定律
,可知气体膨胀对外做功时,气体可能吸热,内能增加,A对;由气体状态方程
?,可知BC错;破镜难从圆是由于分子间存在空隙,D错。所以本题选择A。
本题难度:简单
5、计算题 一质量为2m的物体P静止于光滑水平地面上,其截面如图所示。图中ab为粗糙的水平面,长度为L;bc为一光滑斜面,斜面和水平面通过与ab和bc均相切的长度可忽略的光滑圆弧连接。现有一质量为m的木块以大小为v0的水平初速度从a点向左运动,在斜面上上升的最大高度为h,返回后在到达a点前与物体P相对静止。重力加速度为g。求
(1)木块在ab段受到的摩擦力f;
(2)木块最后距a点的距离s。

参考答案:
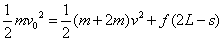
解:(1)设木块和物体P共同速度为v,两物体从开始到第一次到达共同速度过程由动量和能量守恒得:
?①
?②
由①②得:
?③
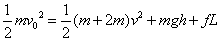
(2)木块返回与物体P第二次达到共同速度与第一次相同(动量守恒)全过程能量守恒得:
?④
由②③④得:
本题解析:
本题难度:一般