| 高考省级导航 | |
| 
 | |
| 高考物理答题模板《匀变速直线运动》试题特训(2017年最新版)(六) 
  参考答案:AD 本题解析: 本题难度:简单 2、计算题  (8分)摩托车从A点由静止出发做匀加速直线运动,用7 s时间通过一座长BC=14 m的平桥,过桥后的速度是3 m/s。 参考答案:(1)1m/s? (2)1.75m 本题解析:(1) 本题难度:简单 3、选择题  如右图所示,为一做直线运动质点的速度v随时间t变化关系图象,则该质点的位移x随时间t变化关系图象可能是下列四图中的(  ) | 

参考答案:由速度时间图象可知,该质点先做匀减速直线运动后做反方向匀加速直线运动,即速度先减小后增加,则x-t图象中的斜率先减小后增加,C正确;
故选:C.
本题解析:
本题难度:一般
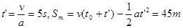
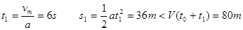
4、计算题  一辆值勤的警车停在直公路边,当警员发现从他旁边以 的速度匀速行驶的货车有违章行为时,决定去追赶,经
的速度匀速行驶的货车有违章行为时,决定去追赶,经 警车发动起来,以加速度
警车发动起来,以加速度 做匀加速运动,试问:
做匀加速运动,试问:
(1)在警车追上货车之前,两车间的最大距离是多少?
(2)若警车能达到的最大速度是 ,达到最大速度后匀速运动。则警车发动起来后至少要多长的时间才能追上违章的货车?
,达到最大速度后匀速运动。则警车发动起来后至少要多长的时间才能追上违章的货车?
参考答案:(1)  ;? (2)
;? (2) 
本题解析:(1)(4分)在警车追上货车之前,两车速度相等时,两车间的距离最大,设警车发动起来后 ?两车速度相等,两车间的距离最大为
?两车速度相等,两车间的距离最大为 ,则
,则 ?
?
(2)(6分)若警车的最大速度是 ,则警车发动起来后加速时间为
,则警车发动起来后加速时间为 ,加速位移为
,加速位移为 则有:
则有: 
所以警车还没追上货车,这以后匀速运动追赶,设再经时间 追上:
追上:
则 ?解得
?解得
所以警车发动起来后追上货车经历的时间为
本题难度:简单
5、选择题  完全相同的甲、乙两汽车,甲车空载,乙车满载,它们在同样的路面上以相同的速度行驶,若它们同时关闭发动机,则两车滑行到停止的过程中(  )
A.经过相同的路程
B.经过相同的时间
C.加速度相同
D.摩擦力相同
参考答案:运动的加速度a=fm=μmgm=μg,因为μ相同,则加速度相同.
根据t=v0a,知运动的时间相等.根
据x=v022a知,位移相等.
因为质量不等,所以摩擦力f=μmg不等.故A、B、C正确,D错误.
故选ABC.
本题解析:
本题难度:一般
| 
 | ||
| 【大 中 小】【打印】 【繁体】 【关闭】 【返回顶部】 | ||
| 下一篇:高考物理答题技巧《全反射、临界.. | ||