微信搜索关注"91考试网"公众号,领30元,获取公务员、事业编、教师等考试资料40G!
1、计算题 【选修3-3选做题】
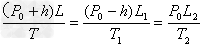
在一端封闭、内径均匀的直玻璃管内,有一段水银柱封闭一定质量的理想气体a。将管口向上竖直放置,若温度为T=300K,达到平衡时,气柱a的长度为L?=30cm;将管口向下竖直放置,若温度为T1=350K,达到平衡时,气柱a的长度为L1=40cm。然后将管平放在水平桌面上,平衡时气柱a的长度为L2=36cm,求此时温度T2。(已知大气压P0=75cmHg,不计玻璃管和水银的体积随温度的变化)

参考答案:解:设水银柱长为h,有理想气体状态方程知

代入数据解得T2=337.5K
本题解析:
本题难度:一般
2、简答题 已知地面附近高度每升高12m,大气压降低1mmHg.为了观测大气压这一微小变化,某实验小组巧妙地设计了如图所示的一个实验,在一个密闭的玻璃瓶的塞子上插入一根两端开口且足够长的细玻璃管,瓶内有一定量的水和空气.由于内外压强差,细玻璃管内水面a上升到一定的高度.将玻璃瓶放置在地面上,记录下此时管内水面a的位置,再将玻璃瓶放到离地1.2米的讲台上时,则玻璃管内水面将上升______mm;同时小组成员想用此装置来测量高度.先将此装置放在温度为27℃、大气压为750mmHg的实验室前场地上,测得水柱的高度h=204mm.然后将装置缓慢地平移到二楼的实验室桌面上,待稳定后发现水柱升高了40.8mm,已知实验室比楼下场地的温度高1℃,实验室桌面与外场地的高度差为______m;(不计水面升降引起的瓶内空气体积的变化,水银的密度为13.6×103Kg/m3)
参考答案:玻璃瓶放到离地1.2m的讲台上时,大气压降低了0.1mmHg,毛细管中水面上升0.1mm×13.6=1.36mm;
大气压为750mmHg,在A处时,
瓶内气体压强为:P1=750mmHg+20413.6mmHg=765mmHg;
根据理想气体状态方程,有P1V1T1=P2V2T2,
代入数据得到:765×V300=P2V301,
解得P2=767.55mmHg;
故B处大气压为PB=P2-Ph=767.55mmhg-(204+40.8)mmHg13.6=749.55mmHg;
故A、B间的高度差为:△h=(750-749.55)×12=5.4m;
故答案为:1.36;5.4.
本题解析:
本题难度:一般
3、选择题 一根两端封闭粗细均匀的直玻璃中有一段长57厘米的水银柱,在水银柱两边各有一段空气柱(如图)。当玻璃管水平放置,两段空气柱长度均为30厘米,压强都是一个标准大气压,现将玻璃管缓慢竖立起来,则上下两段空气柱的长度分别为(?)

A.30厘米,30厘米
B.35厘米,25厘米
C.40厘米,20厘米
D.45厘米,15厘米
参考答案:C
本题解析:设左侧气体参数为
,
,右侧气体为
,
,根据理想气体状态方程
,
,
,
,联立上述方程可以求得,
,
点评:考察学生应用理想气体状态方程,其中注意
,关键点在于找到各段气体压强之间的关系。
本题难度:简单
4、填空题 两端开口、粗细均匀的U型玻璃管开口向上竖直放置,两段水银柱中间封有一定质量的理想气体,其液面高度差如图所示,则如果向右管倒入少量水银后,图中的h2将______(填“增大”“不变”或“减小”),如果向左管倒入少量水银后,图中的h2将______(填“增大”“不变”或“减小”).
参考答案:封闭气体压强P=P0+h1=P0+h右,向右管缓慢倒入少量水银后h右变大,
封闭气体压强P=P0+h右变大,气体温度不变,由玻意耳定律可知,
气体体积变小,h2变小;
封闭气体压强P=P0+h1=P0+h右,向左管缓慢倒入少量水银后h右不变,
封闭气体压强P=P0+h右不变,气体温度不变,由玻意耳定律可知,
气体体积变小,h2不变;
故答案为:减小,不变.
本题解析:
本题难度:一般
5、选择题 ( 2010·全国卷Ⅱ·16)如图,一绝热容器被隔板K 隔开a 、 b两部分。已知a内有一定量的稀薄气体,b内为真空,抽开隔板K后a内气体进入b,最终达到平衡状态。在此过程中

A.气体对外界做功,内能减少
B.气体不做功,内能不变
C.气体压强变小,温度降低
D.气体压强变小,温度不变
参考答案:BD
本题解析:根据容器内的稀薄气体与外界没有热传递,Q=0.稀薄气体向真空扩散没有做功,W=0.根据热力学第一定律稀薄气体的内能不变,则温度不变。稀薄气体扩散体积增大,压强必然减小。
本题难度:一般