微信搜索关注"91考试网"公众号,领30元,获取公务员、事业编、教师等考试资料40G!
1、简答题 某同学用量角器测量玻璃三棱镜折射率,先在白纸上放好三棱镜,标出三棱镜轮廓,在棱镜的左侧插上两枚大头针P1和P2,然后在棱镜的右侧观察到P1像和P2像,当P1的像被恰好被P2像挡住时,插上大头针P3和P4,使P3挡住P1、P2的像,P4挡住P3和P1、P2的像.在纸上标出的大头针位置.如图所示.
(1)在答题纸的图上画出对应的光路;
(2)为了测出三棱镜玻璃材料的折射率,若以AB作为分界面,需要测量的量是______和______,在图上标出它们;
(3)根据测量的量,三棱镜玻璃材料折射率的计算公式是______.
参考答案:(1)大头针P1、P2的连线表示入射光线,P3、P4的连线表示出射光线,分别作出入射光线和出射光线,连接入射点和出射点,画出玻璃砖内部光路,画出光路图如图.

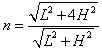
(2)根据折射定律可知,需要测量入射角θ1、折射角θ 2
(3)如图,光线在棱镜左侧面上折射时入射角为θ1,折射角为θ2,根据折射定律得到折射率n=sinθ1sinθ2.
故答案为:(1)画出对应的光路如图;
(2)入射角θ1、折射角θ2
(3)sinθ1sinθ2.
本题解析:
本题难度:一般
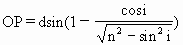
2、计算题 如图所示,巡查员站立于一空的贮液池边,检查池角处出液口的安全情况。已知池宽为L,照明灯到池底的距离为H。若保持照明光束方向不变,向贮液池中注入某种液体,当液面高为H/2时,池底的光斑距离出液口L/4。
(1)试求当液面高为2H/3时,池底的光斑到出液口的距离x。
(2)控制出液口缓慢地排出液体,使液面以v0的速率匀速下降,试求池底的光斑移动的速率vx。

参考答案:解:(1)解法一:由几何关系知:
由折射定律得:
代入
,
得:

解法二:由几何关系知:
液面高度变化,折射角不变,由
,
得:
,
解得:
?
(2)
本题解析:
本题难度:一般
3、选择题 两束不同频率的单色光a、b从空气射入水中,发生了如图所示的折射现象(α>β)。下列结论中正确的是

[? ]
A.光束b的频率比光束a低
B.在水中的传播速度,光束a比光束b小
C.水对光束a的折射率比水对光束b的折射率小
D.若光束从水中射向空气,则光束b的临界角比光束a的临界角大
参考答案:C
本题解析:
本题难度:一般
4、选择题 关于从空气射入玻璃中的一束单色光,下列说法正确的是( )
A.若入射角足够大,则能发生全反射现象
B.光在玻璃中的波长小于在空气中的波长
C.光子在玻璃中的能量大于在空气中的能量
D.光在玻璃中的传播速度大于在空气中的传播速度
参考答案:A、光从空气进入玻璃,由于光从光疏介质进入光密介质,不会发生全反射.故A错误.
B、光从空气进入介质,频率不变,根据E=hv知光子能量不变,根据v=cn知光速减小,根据λ=vf知波长减小.故B正确,C、D错误.
故选B.
本题解析:
本题难度:简单
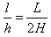
5、简答题 如图所示,宽为a的平行光束从空气斜射到两面平行的玻璃砖上表面,入射角为
,光束中包含两种波长的光,玻璃对这两种波长的光的折射率分别为
=1.5,
,请回答以下问题:

为了使光束从玻璃下表面出射时能分成不相交的两束,玻璃砖的厚度至少为多少?画出光路的示意图.
参考答案:

?,
本题解析:


[方法一] 如图所示,表示一条单色光线以入射角i入射到两面平行的玻璃砖的上表面,经上表面和下表面两次折射后的光路图.并设玻璃砖对该单色光的折射率为n,玻璃砖的厚度为d.由图可以看出,
为出射光线与入射光线间的侧移量.现求解如下:
由平面几何知识可得:


联立以上各式可得:

上式表明,在入射角相同的情况下,不同波长的单色光的侧移量不同.在本题中:


[方法二] 如图所示,作出两束光束经玻璃砖折射的光路图,由图可以看出,当两束光刚好在玻璃砖的下表面被分开时,入射光束边缘上不同波长的两条光线的折射光线相交于玻璃砖下表面的P点.由几何关系可以看出:


联立以上关系式,并代入各量的数据解得:
d=
a 光路如图中所示.
同种波长的平行光束经玻璃砖折射后在玻璃砖中的折射光束仍然互相平行;玻璃对不同波长的光的折射率不同,所以若一条光线中包含两种不同波长的光,则这条光线被玻璃折射后不同波长的光的折射角不同,即两种单色光将被分开.本题中,平行光束中包含两种波长的光,则该入射光束经玻璃折射后,将在玻璃中被分成两束平行光束.
本题难度:简单