微信搜索关注"91考试网"公众号,领30元,获取公务员、事业编、教师等考试资料40G!
1、计算题 如图所示,质量为2m的小滑块P和质量为m的小滑块Q都视作质点,与轻质弹簧相连的Q静止在光滑水平面上。P以某一初速度v向Q运动并与弹簧发生碰撞,问:
①弹簧的弹性势能最大时,P、Q的速度各为多大?
②弹簧的最大弹性势能是多少?

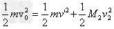
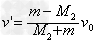
参考答案:①
?②
本题解析:①当弹簧的弹性势能最大时,P、Q速度相等(1分)
?
?(1分)
②最大弹性势能
?(2分)
本题难度:一般
2、简答题 (选修3-5)
(1)下列说法正确的是:
A、光电效应实验揭示了光的粒子性
B、某原子核经过一次α衰变后,核内质子数减少4个
C、重核的裂变过程质量增大,轻核的聚变过程有质量亏损
D、电子的衍射实验证实了物质波的假设是正确的
(2)如图所示,一对杂技演员(都视为质点)荡秋千时从A点(秋千绳OA处于水平位置)由静止出发绕悬点O下摆,当摆到最低点B时,男女演员在极短的时间内互相将对方沿水平方向推出,两人向相反方向做一平抛运动,并能安全落到地面.若女演员的落地点刚好在初始位置A点的正下方,且已知男演员质量是女演员质量的2倍,秋千的质量不计.秋千的绳长为R,O点距地面高度为5R,不计空气阻力.求男演员落地点C与O点的水平距离.

参考答案:(1)A、光电效应和康普顿效应深入的揭示了光的粒子性揭示了光的粒子性,A正确;
B、α衰变是原子核自发放射α粒子的核衰变过程.α粒子是电荷数为2、质量数为4的氦核He.质子数等于电荷数2,所以“核内质子数减少4个”是错误的;
C、重核的裂变过程和轻核的聚变过程都有质量亏损,所以C是错误的;
D、电子的衍射实验证实了物质的波动性,即物质波的假设是正确的;所以D是正确的;
故答案为AD.
(2)设分离前男女演员在秋千最低点B的速度为v0,由机械能守恒定律得:
(m1+m2)gR=12(m1+m2)v20 ①
设刚分离时男演员速度的大小为v1,方向与v0相同;女演员速度的大小为v2,方向与v0相反,由动量守恒,
(m1+m2)v0=m1v1-m2v2②
分离后,男演员做平抛运动,设男演员从被推出到落在C点所需的时间为t,
根据题给条件,由运动学规律,
4R=12gt2 ③
s=v1t④
根据题给条件,女演员的落地点刚好在初始位置A点的正下方,根据平抛有:
R=v2t ⑤
由以上各式可得:s=6.5R
答:男演员落地点C与O点的水平距离为6.5R.
本题解析:
本题难度:简单
3、简答题 如图所示,光滑的水平面上静止停放着质量均为m的A、B两辆小车,A车上静止站着一个质量为
m的人.若此人从A车跳到B车上,并与B车保持相对静止.在此过程中,A车、B车、人各自动量变化的矢量和等于______.此后,A车与B车的速度大小之比为______.

参考答案:在此过程中,A车、B车、人各自动量变化的矢量和等于系统动量变化,
对人、A、B两车组成的系统动量守恒,所以A车、B车、人各自动量变化的矢量和等于0.
规定向右为正方向,根据人、A、B两车组成的系统动量守恒得:
0=mvA-43mvB
解得:vA:vB=4:3.
故答案为:0,4:3.
本题解析:
本题难度:一般
4、实验题 在“验证碰撞中的动量守恒”的实验中称得入射小球1的质量m1="15" g,被碰小球2的质量m2="10" g,由实验得出它们在碰撞前后的xt图线如图1-4中的1、1′、2′所示,则由图可知,入射小球在碰前的动量是___________g·cm/s,入射小球在碰后的动量是___________g·cm/s,被碰小球的动量是___________g·cm/s,由此可得出结论___________.

图1-4
参考答案:1 500? 750? 750?碰撞前后动量守恒
本题解析:xt图象反映速度的变化情况,从中要读出速度的大小,并分析出碰前还是碰后的情况.
本题难度:简单
5、计算题 【选修3-5选做题】
如图所示,两个质量分别为M1、M2的劈A、B,高度相同。放在光滑水平面上,A、B的上表面为光滑曲面,曲面末端与地面相切。有一质量为m的物块(可视为质点)自劈A顶端自由下滑。劈顶端到地面距离h=0.06 m,劈A与物块的质量比
s。求:
(1)物块离开A的瞬间A和物块的速度各为多少;(g=10 m/s2)
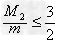
(2)物块从A上滑下后又冲上B,若要保证物块离开B后不能追上A,则B与物块的质量比
应满足什么条件。

参考答案:解:(1)设向右为正方向,小球从A滑下的过程,系统机械能守恒

水平方向动量守恒mv0-M1v1=0
解得A的速度v1=0.2m/s
物块的速度v0=1.0 m/s
(2)物块冲上B又离开的过程,系统机械能守恒

水平方向动量守恒mv0=M2v2+mv"
可得
当m<M2时v"<0,当v"的大小不大于v1时m不能再追上A
即
得
本题解析:
本题难度:一般
A bargain is a bargain. 成约不能翻悔。