微信搜索关注"91考试网"公众号,领30元,获取公务员、事业编、教师等考试资料40G!
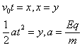
1、计算题 如图,与水平面成45°角的平面MN将空间分成I和II两个区域。一质量为m、电荷量为q(q>0)的粒子以速度v0从平面MN上的p0点水平右射入I区。粒子在I区运动时,只受到大小不变、方向竖直向下的电场作用,电场强度大小为E;在II区运动时,只受到匀强磁场的作用,磁感应强度大小为B,方向垂直于纸面向里。求粒子首次从II区离开时到出发点p0的距离。粒子的重力可以忽略。

参考答案:解:设粒子第一次过MN时速度方向与水平方向成α1角,位移与水平方向成α2角且α2=45°,在电场中做类平抛运动,则有:

得出:
,
在电场中运行的位移
在磁场中做圆周运动,且弦切角为α=α1-α2,
,得出:
在磁场中运行的位移为:
所以首次从II区离开时到出发点p0的距离为:
本题解析:
本题难度:困难
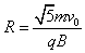
2、简答题 (16分)如图13-4-10所示,在真空中,半径为R=5L0的圆形区域内存在匀强磁场,磁场方向垂直纸面向里.在磁场右侧有一对平行金属板M和N,两板间距离为d=6L0,板长为L=12L0,板的中心线O1O2与磁场的圆心O在同一直线上. 给M、N板加上电压U0,其变化情况如图13-4-11所示.有一电荷量为q、质量为m的带电的粒子,从M、N板右侧沿板的中心线,在t=0或t=T/4时刻以速率v向左射入M、N之间,粒子在M、N板的左侧刚好以平行于M、N板的速度射出.若上述粒子经磁场后又均能平行于M、N极板返回电场,而电场变化的周期T未知,求磁场磁感应强度B相应必须满足的条件.(不计粒子重力)

参考答案:
本题解析:(16分)若要使从极板左端射入磁场的粒子又平行于极板返回电场,则它们在磁场中的运动半径r必须等于其在电场中垂直板方向上的位移y.即r=y,否则粒子运动的情况如图7所示,粒子射出磁场时其速度方向不再与中轴线O1O2平行.

对于t=0射入电场的粒子
?-------------------(3分)
? -------------------(1分)?
? -------------------(1分)
? -------------------(1分)?
而
? -------------------(2分)
解得:
?(N=1、2、3、……),其中
?-------------------(2分)
对于
时刻射入电场的粒子,
,
?-------------------(2分)
若粒子在电场中运动的时间是T/2的偶数倍,则粒子沿中轴线O1O2射出电场,通过磁场偏转后,不可能再平行于中轴线O1O2射出磁场返回电场.故粒子在电场中运动的时间只能取T/2的奇数倍.
?-------------------(2分)
解得:
? (N=1、2、3、……)其中
即
? -------------------(2分)
本题难度:一般
3、计算题 如图所示,质量为m的矩形线框MNPQ,MN边长为a,NP边长为b;MN边电阻为R1,PQ边电阻为R2,线框其余部分电阻不计。现将线框放在光滑绝缘的水平桌面上,PQ边与y轴重合。空间存在一个方向垂直桌面向下的磁场,该磁场的磁感应强度沿y轴方向均匀,沿x轴方向按规律Bx=B0(1-kx)变化,式中B0和k为已知常数且大于零。矩形线框以初速度v0从图示位置向x轴正方向平动。求:

小题1:在图示位置时线框中的感应电动势以及感应电流的大小和方向;
小题2:线框所受安培力的方向和安培力的表达式;
小题3:线框的最大运动距离xm;
小题4:若R1=2R2,线框运动到
过程中,电阻R1产生的焦耳热。
参考答案:
小题1:方向沿NPQMN
小题2:
小题3:
小题4:
本题解析:(1)


感应电流的方向沿NPQMN。
(2)线框受的安培力方向沿-x方向(或水平向左),
安培力大小的表达式
(3)根据牛顿第二定律
F=


矩形框的最大运动距离?
(4)由
得?
,

电阻R1产生的焦耳热为

本题难度:简单
4、计算题 如图所示,一质量为m=0.016kg、长L=0.5m、宽d=0.1m、电阻R=0.1Ω的矩形线圈,从h1=5m的高处由静止开始下落,然后进入匀强磁场,当下边进入磁场时,由于磁场力的作用,线圈正好作匀速运动。

(1)求匀强磁场的磁感应强度B。
(2)如果线圈的下边通过磁场所经历的时间t=0.15s,求磁场区域的高度h2.
(3)求线圈的下边刚离开磁场的瞬间,线圈的加速度的大小和方向。
(4)从线圈的下边进入磁场开始到线圈下边离开磁场的时间内,在线圈中产生的焦耳热是多少?
参考答案:(1)B=0.4T? (2)
(3)
?,方向向上(4)Q=mgL=0.08J
本题解析:(1)设线圈刚进入磁场时的速度为v0,则据机械能守恒定律可得:
?(2分)
根据平衡条件可得
(2分)?,解得B=0.4T?(1分)
(2)因为线圈的下边进入磁场后先做匀速运动,用时t0=0.05s,?(1分)
所以线圈做加速运动的时间t1=0.1s,
?(2分)
(3) 线圈的下边刚离开磁场的瞬间的速度V=v0+gt1=11m/s;?(2分)
线圈的加速度的大小
?,方向向上。(3分)
(4)Q=mgL=0.08J?(3分)
本题难度:一般
5、选择题 一带电小球M在相互垂直的匀强电场、匀强磁场中作匀速圆周运动,匀强电场竖直向上,匀强磁场水平且垂直纸面向里,如图所示,下列说法正确的是

[? ]
A.小球一定带负电?
B.由于洛伦兹力不做功,故小球在运动过程中机械能守恒
C.由于合外力做功等于零,故小球在运动过程中动能不变
D.沿垂直纸面方向向里看,小球的绕行方向既可以是顺时针也可以是逆时针方向
参考答案:C
本题解析:
本题难度:一般