微信搜索关注"91考试网"公众号,领30元,获取公务员、事业编、教师等考试资料40G!
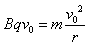
1、计算题 如图所示,在半径为r0的圆形区域内有匀强磁场,磁感应强度为B,磁场方向垂直于纸面向外,已知∠MAC=∠NAC=30°,有一束不计重力的质量为m、带电量为q的正电荷以大小不同的速度从A点沿直径AC方向射入磁场,要使该粒子束只能从MCN弧上射出,求粒子束的速度大小的范围?

参考答案:解:粒子的速度越小,射出时就越靠近A点,速度越大就越靠近N点,设从N点射出的粒子的速度为vm,其在圆形区域内的运动轨迹如图所示,其圆心为O1,设半径为rm,则
?
∠AO1O=30°
rm=O1A=OAcot∠AO1O
∴rm=
,rm=
∴
粒子的速度要大于或等于vm,粒子束才能从MCN弧上射出,即粒子速度大小的范围是v≥
本题解析:
本题难度:一般
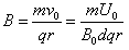
2、计算题 如图所示,带电量为+q、质量为m的离子(不计重力)由静止开始经A、B间电压加速以后,沿中心线射入带电金属板C、D间,C、D间电压为U0,板间距离为d,中间有垂直于纸面向里的匀强磁场,磁感应强度为B0。
(1)为使加速的离子进入C、D板间做匀速直线运动,求加速电压U;
(2)设沿直线飞越C、D间的离子由小孔M沿半径方向射入一半径为R的绝缘筒,筒内有垂直纸面向里的匀强磁场。设离子与筒壁碰撞时速率、电量都不变,且碰撞前速度方向与碰撞后速度方向的关系与光的反射(入射光线和反射光线分居在法线两侧,反射角等于入射角)相类似。为使离子在筒内能与筒壁碰撞4次(不含从M孔出来的一次)后又从M孔飞出,求筒内磁感应强度B的可能值(用三角函数表示)。

参考答案:解:(1)离子在A、B间加速过程有:
在CD间匀速直线运动有:
且
联立各式可得:
(2)带电离子在磁场中运动轨迹如图所示

由第一问可得:
离子在圆形磁场中有
所以
如图所示:
由几何知识易知
第一种情况:
,所以
第二种情况:
,所以
本题解析:
本题难度:困难
3、选择题 一个质子垂直磁场方向进入磁场区域,运动的轨迹为圆形.若换成一个氦核以相同速度进入这个磁场,则( )
A.轨迹半径增大
B.轨迹半径减小
C.运动周期不变
D.运动周期减小
参考答案:质子的质量数是1,电荷数是1,它的比荷数是1;氦核的质量数是4,电荷数是2,它的比荷数是2,即氦核的比荷是质子的2倍.
A、B:根据半径公式:r=mvqB得:rPrα=mpqpmαqα=12,所以氦核的轨迹半径大,故A正确,B错误;
C、D:根据周期公式:T=2πmqB得:TpTα=mpqpmαqα=12,所以氦核的轨迹周期大,故C错误,D错误.
故选:A
本题解析:
本题难度:简单
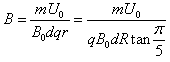
4、简答题 如图所示,xOy平面内半径为R的圆O"与y轴相切于原点O.在该圆形区域内,有与y轴平行的匀强电场和垂直于圆面的匀强磁场.一质量为m、电荷量为q的粒子(不计重力)从O点沿x轴正方向以某一速度射入,带电粒子恰好做匀速直线运动,经T0时间从P点射出.
(1)若仅撤去磁场,带电粒子仍从O点以相同的速度射入,经
时间恰从圆形区域的边界射出.求电场强度的大小和粒子离开电场时速度的大小;
(2)若仅撤去电场,带电粒子仍从O点射入,且速度为原来的2倍,求粒子在磁场中运动的时间.

参考答案:(1)设电场强度为E,磁感强度为B;初速度为v.同时存在电场和磁场时,带电粒子做匀速直线运动有:
2R=vT0
解得:
v=2RT0
撤去磁场,只存在电场时,粒子做类平抛运动,有:
x=v?T02
y=12?qEm?(T02)2
由以上式子可知x=y=R,粒子从图中的M点离开电场;
解得:
E=8mRqT20
又:vx=v
vy=at=qEm?T02
则粒子离开电场时的速度为:
v=
本题解析:
本题难度:一般
5、选择题 如图所示,在匀强磁场中附加另一匀强磁场,附加磁场位于图中阴影区域,附加磁场区域的对称轴OO′与SS′垂直.a、b、c三个质子先后从S点沿垂直于磁场的方向摄入磁场,它们的速度大小相等,b的速度方向与SS′垂直,a、c的速度方向与b的速度方向间的夹角分别为α、β,且α>β.三个质子经过附加磁场区域后能到达同一点S′,则下列说法中正确的有( )

A.三个质子从S运动到S′的时间相等
B.三个质子在附加磁场以外区域运动时,运动轨迹的圆心均在OO′轴上
C.若撤去附加磁场,a到达SS′连线上的位置距S点最近
D.附加磁场方向与原磁场方向相同
参考答案:CD
本题解析:
本题难度:一般